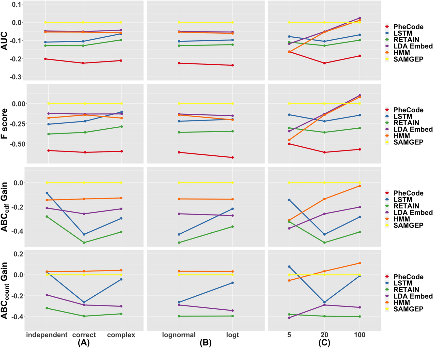
Figure 3

Robustness of SAMGEP and comparator methods’ AUCs, F scores, ABCcdf gains, and ABCcount gains to various generative parameters, including the (a) specification of \(Y|T\), (b) specification of \({\varvec{C}}|Y\), and (c) number of informative (i.e. non-sparse) features. Details of the experiments are delineated in the “Simulation study” subsection of the “Methods”, and more extensive results are displayed in Supplementary Fig. S5.