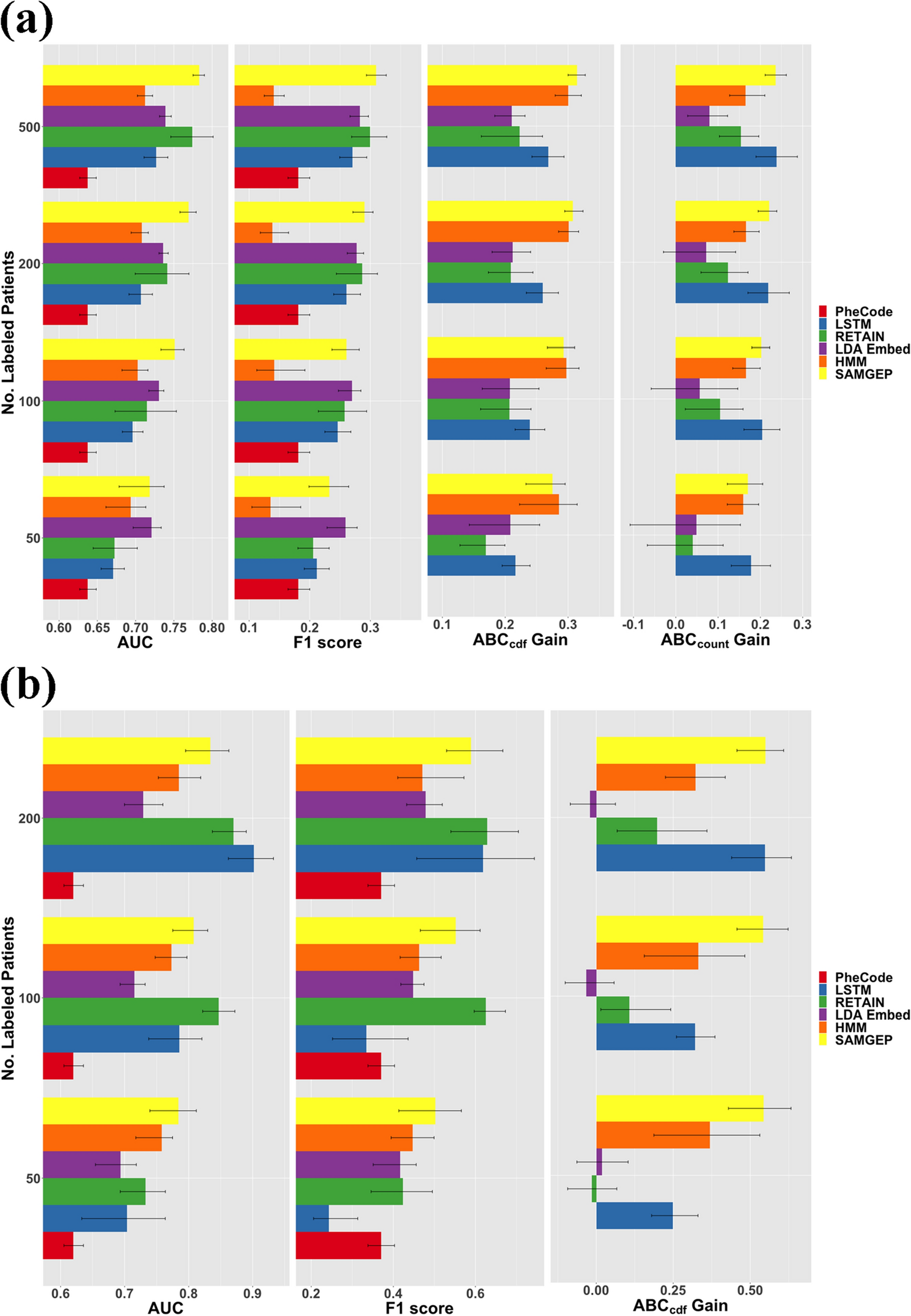
Figure 4

Predictive accuracies of SAMGEP and various comparator methods using real-world EHR data to predict (a) MS relapse with \(n\in \{\mathrm{50,100,200,500}\}\) labeled patients, and (b) HF onset with \(n\in \{\mathrm{50,100,200}\}\) labels. 95% confidence intervals were empirically estimated by bootstrapping with 100 replicates. See the “Evaluation metrics” subsection of the “Methods” for details about the evaluation metrics. More extensive results are displayed in Supplementary Fig. S6.