Figure 3
From: A method for estimating magnetic target location by employing total field and its gradients data

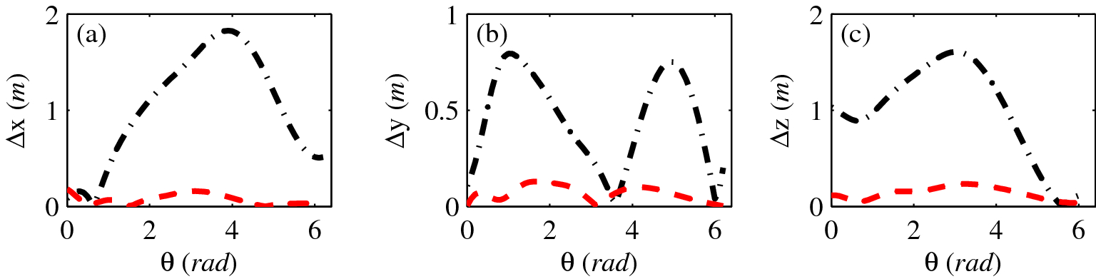
The curve of Δx (a), Δy (b), and Δz (c) versus θ.
From: A method for estimating magnetic target location by employing total field and its gradients data

The curve of Δx (a), Δy (b), and Δz (c) versus θ.