Figure 24
From: An analysis of digging anchor machine stability and track wear under digging conditions

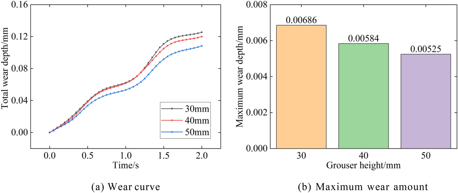
Wear depth with different grouser spacing.
From: An analysis of digging anchor machine stability and track wear under digging conditions

Wear depth with different grouser spacing.