Figure 2
From: Neuroprotective metabolites via fungal biotransformation of a novel sapogenin, cyclocephagenol

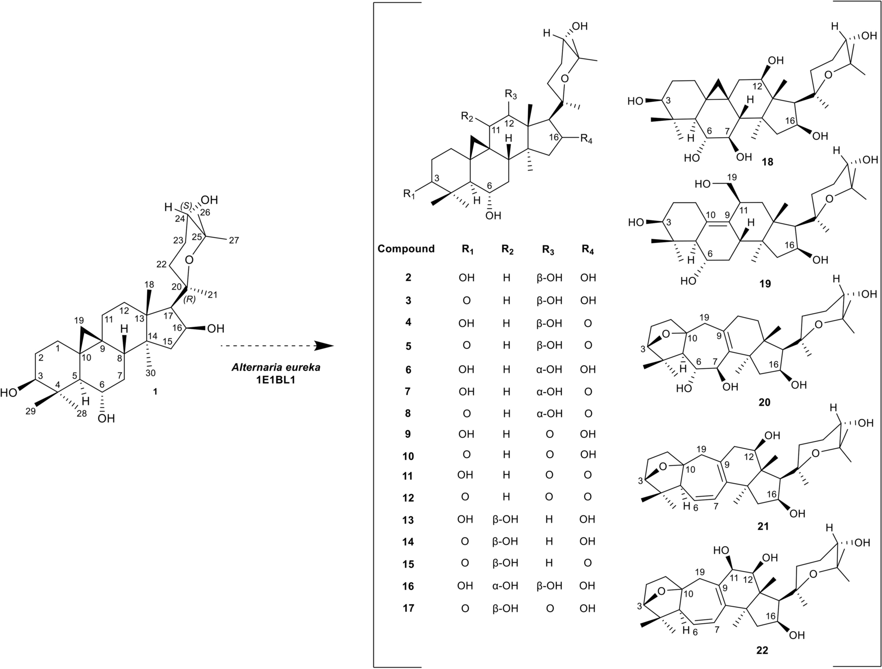
Biotransformation products of cyclocephagenol (1) by Alternaria eureka 1E1BL1.
From: Neuroprotective metabolites via fungal biotransformation of a novel sapogenin, cyclocephagenol

Biotransformation products of cyclocephagenol (1) by Alternaria eureka 1E1BL1.