Figure 10
From: Experimental study on shear characteristics of the silty clay soil-ice interface

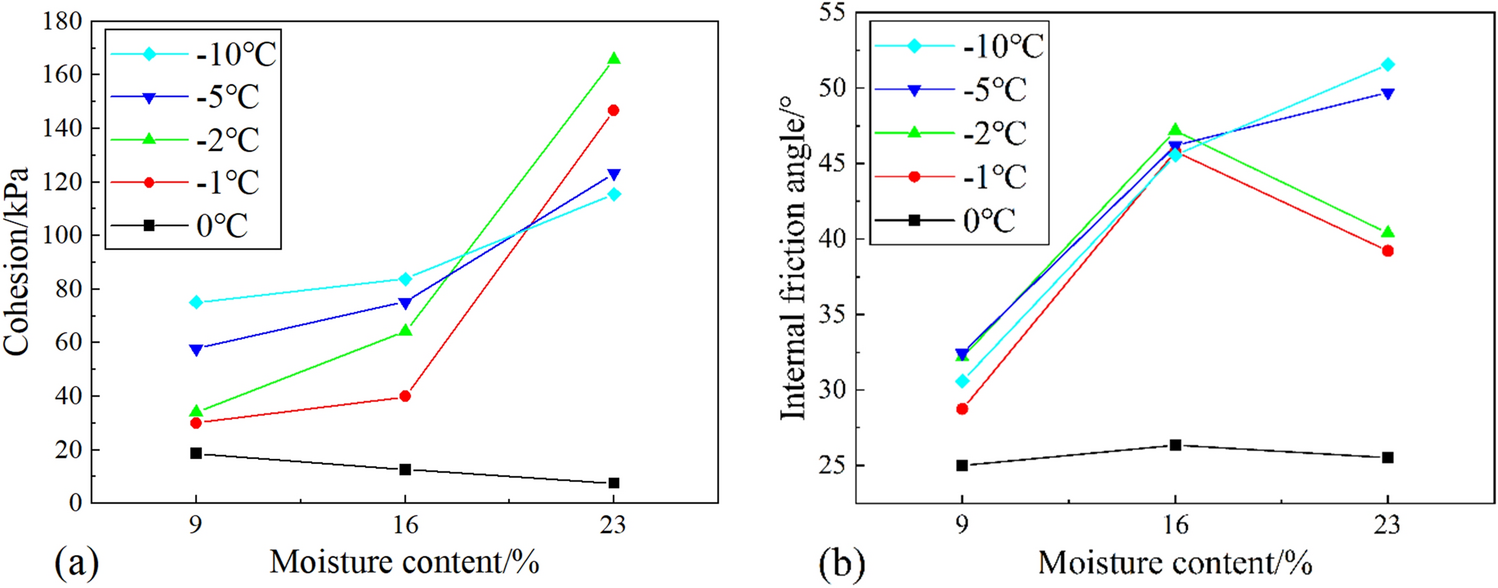
Effect of moisture content on the shear index of soil-ice interface: (a) cohesion; (b) internal friction angle.
From: Experimental study on shear characteristics of the silty clay soil-ice interface

Effect of moisture content on the shear index of soil-ice interface: (a) cohesion; (b) internal friction angle.