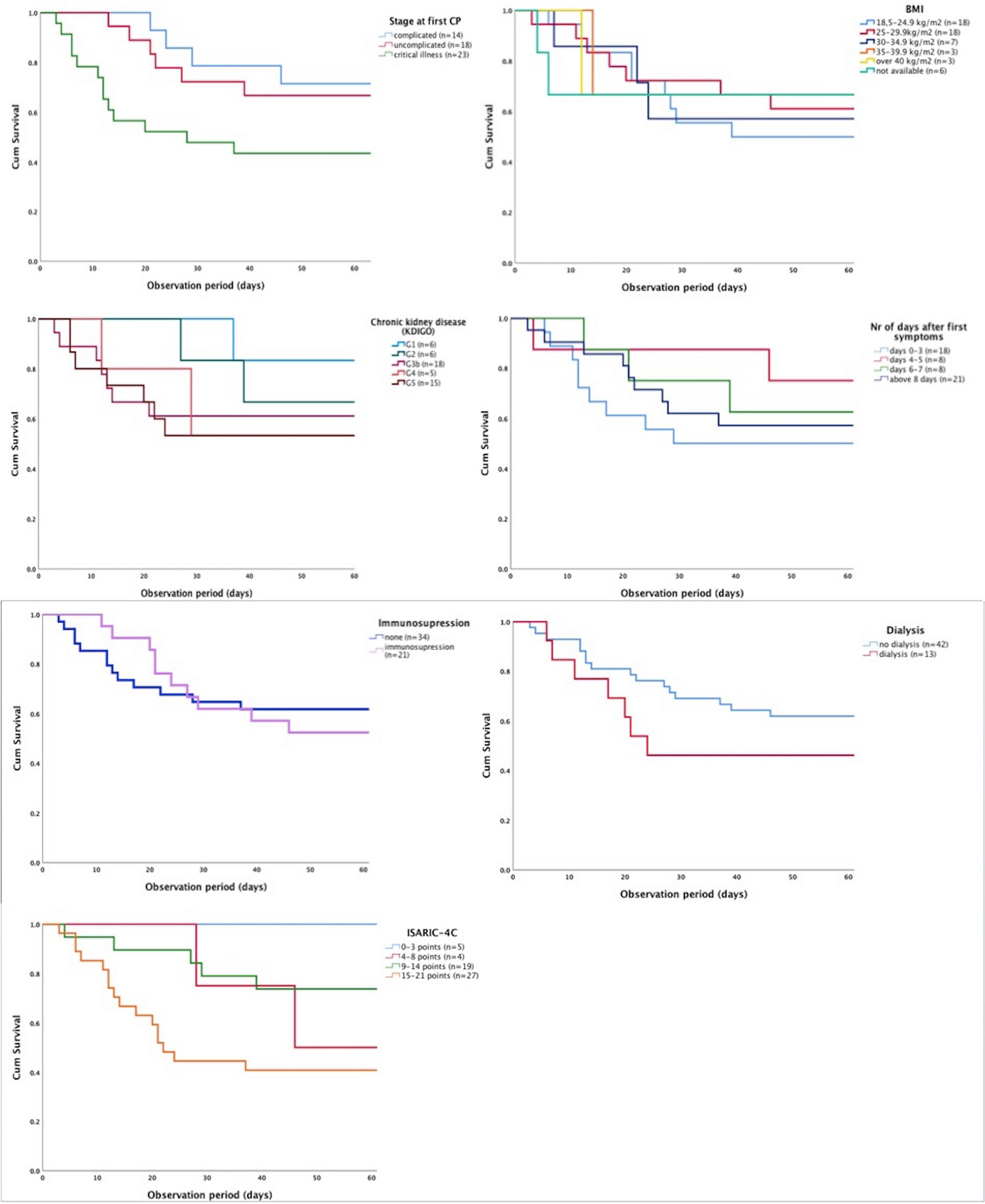
Figure 1

Kaplan–Meier survival plots for various parameters. CP convalescent plasma, BMI body mass index, KDIGO Kidney Disease Improving Global Outcomes, ISARIC-4C Coronavirus Clinical Characterisation Consortium.

Kaplan–Meier survival plots for various parameters. CP convalescent plasma, BMI body mass index, KDIGO Kidney Disease Improving Global Outcomes, ISARIC-4C Coronavirus Clinical Characterisation Consortium.