Figure 3
From: A multi-marker integrative analysis reveals benefits and risks of bariatric surgery

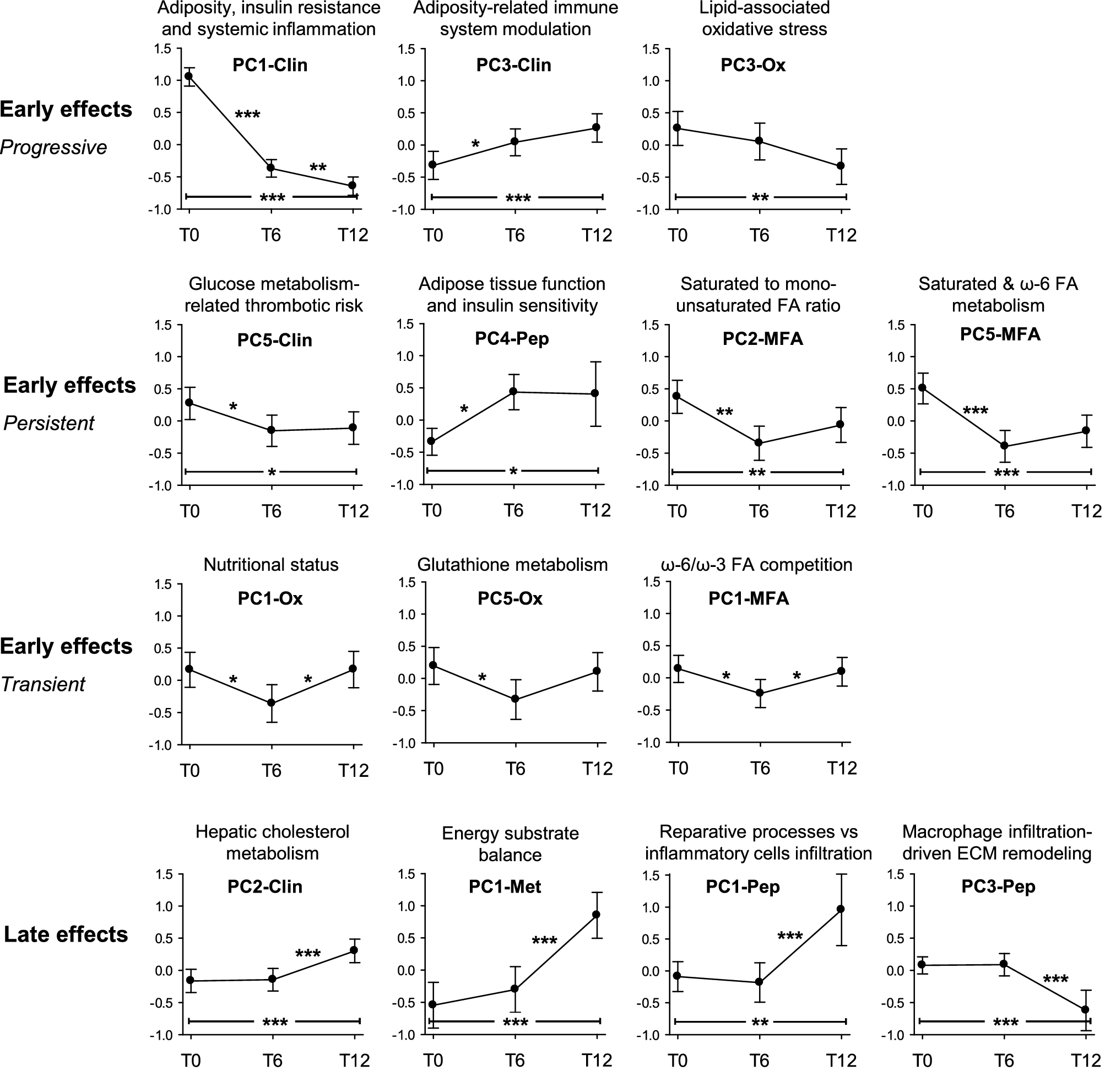
Early and late effects of bariatric surgery as assessed by PCs temporal trends. PC values at baseline (T0), six (T6) and twelve (T12) months from BS are reported. Values are means with 95% CI. *p ≤ 0.05; **p ≤ 0.01; ***p ≤ 0.001, repeated measures ANOVA with contrasts. ECM extracellular matrix.