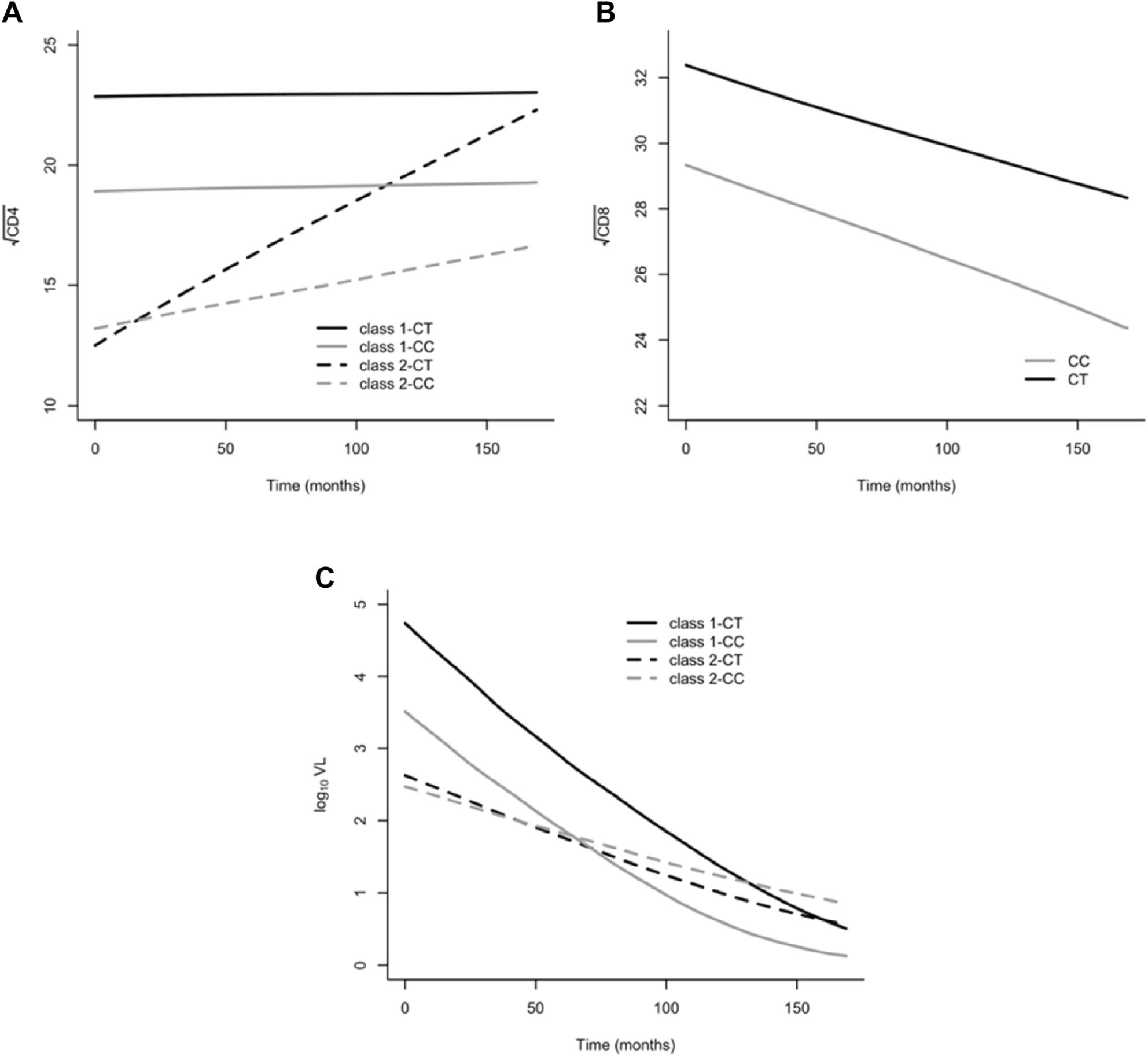
Figure 1

Class-specific model predicted curves for CD4 (A), CD8 (B) and HIV load (C) highlighting the effect of PKR genotype over time. To visualize the results, being in a multiple regression framework, the other model covariates were kept constant (age was set equal to 43 years, sex was fixed to male, disease duration from HIV diagnosis to study entry was set equal to 14 years, coinfection with hepatitis C and AIDS diagnosis were assumed to be present, the level homozygous for the delta 32 allele of CCR5 has been selected and sexual contact was set as route of infection). It should be noticed that since all these covariates are entered as fixed effects in the model, changes in their values have the only effect of shifting up/down the curves but curves shapes will looks exactly as shown below.