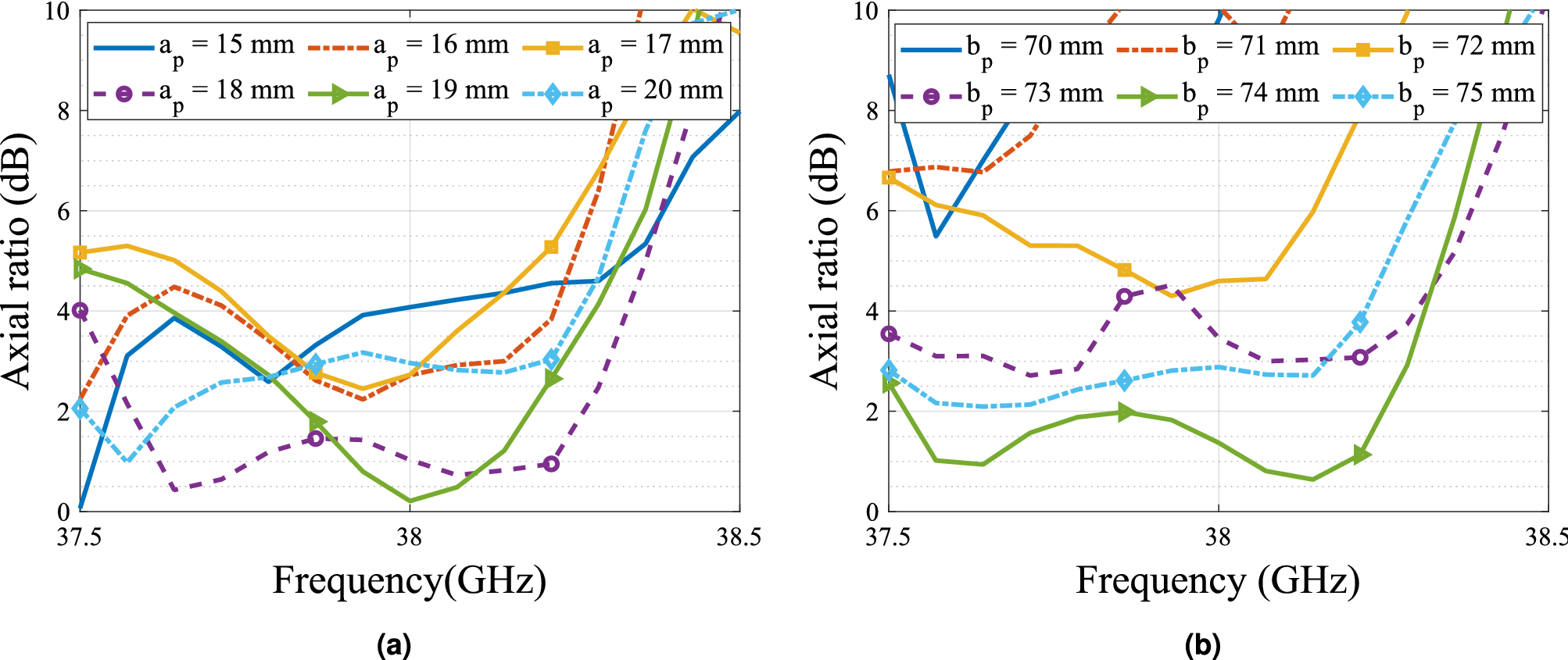
Figure 6

Parametric study simulation results. (a) Variation of a\(_p\) when b\(_p\) = 74.2 mm. (b) Variation of b\(_p\) when a\(_p\) = 18 mm.

Parametric study simulation results. (a) Variation of a\(_p\) when b\(_p\) = 74.2 mm. (b) Variation of b\(_p\) when a\(_p\) = 18 mm.