Figure 4
From: On dispersion curve coloring for mechanical metafilters

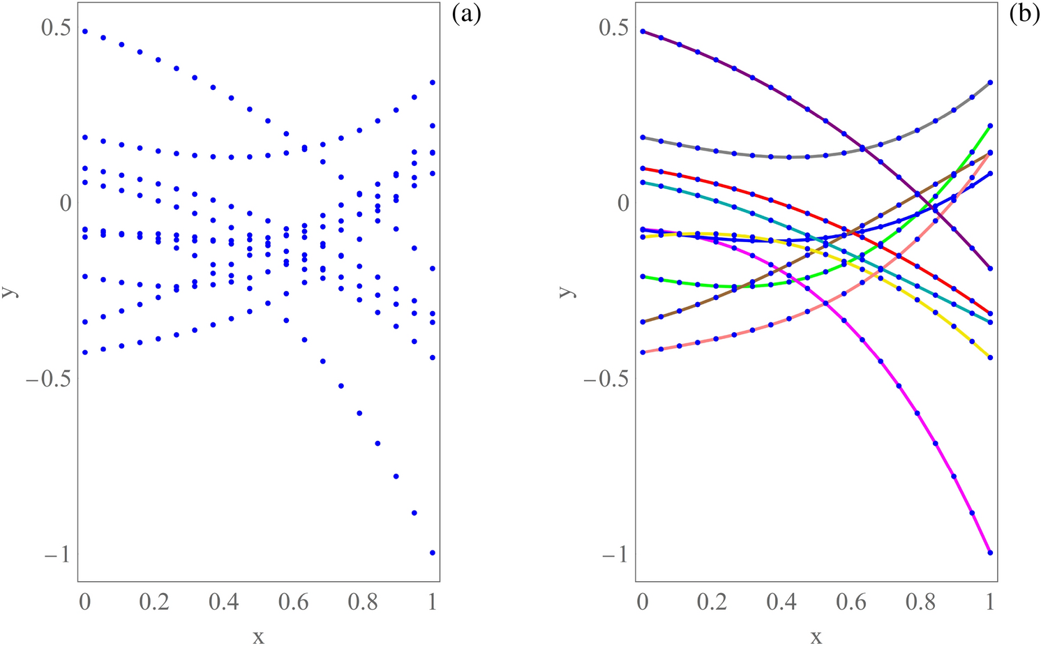
Curve coloring in the case of smooth generic curves. (a) Original sampled curves. (b) Possible desired output.
From: On dispersion curve coloring for mechanical metafilters

Curve coloring in the case of smooth generic curves. (a) Original sampled curves. (b) Possible desired output.