Figure 9

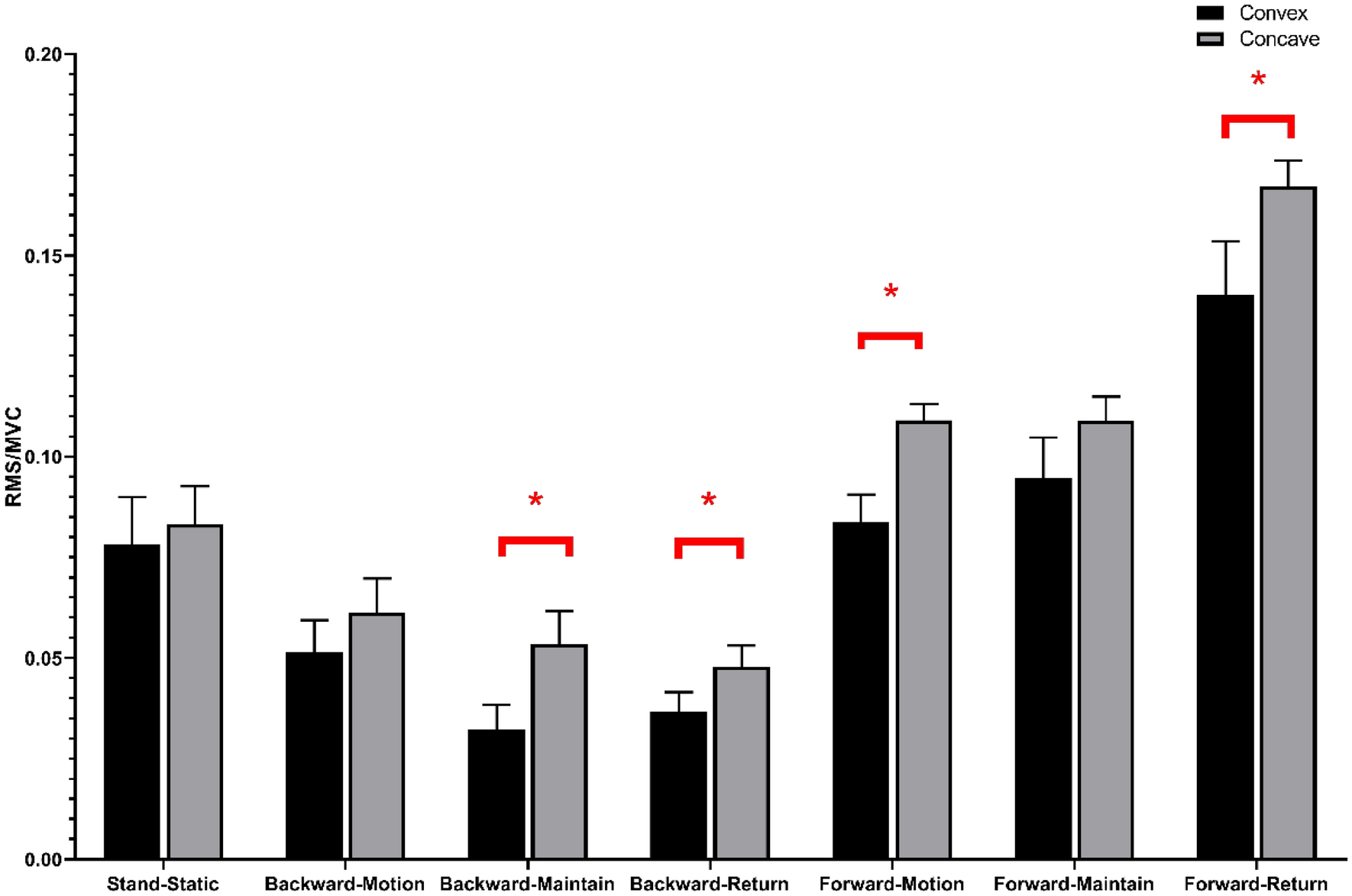
sEMG activity of PVMs at the LEV level in the DLS group in all movement tasks. *Significant difference in sEMG activity of PVMs between the convex and concave sides.

sEMG activity of PVMs at the LEV level in the DLS group in all movement tasks. *Significant difference in sEMG activity of PVMs between the convex and concave sides.