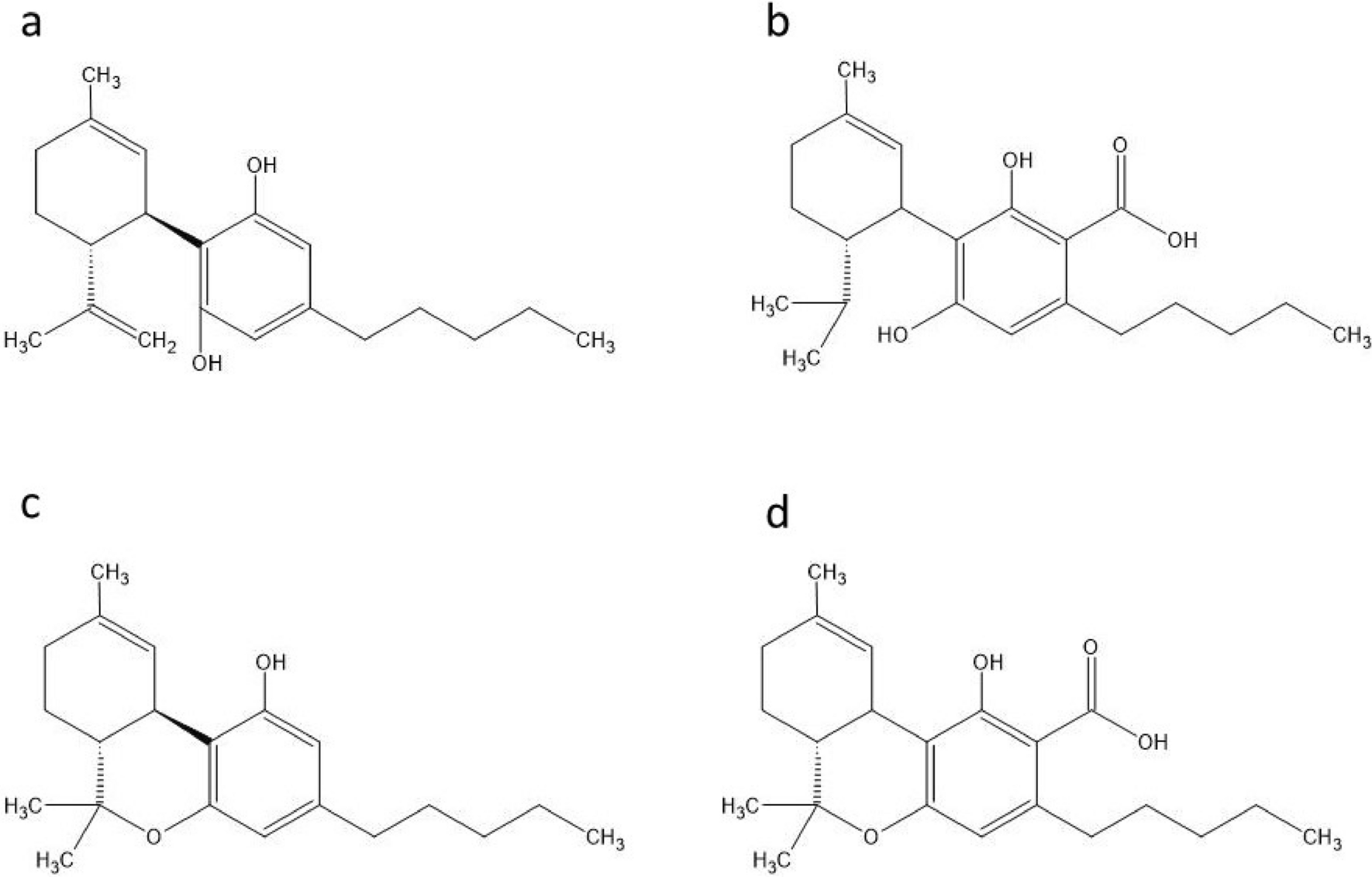
Figure 4

Source Thomas and ElSohly53.
Molecular structures of cannabidiol (a), cannabidiol acid (b), tetrahydrocannabinol (c) and tetrahydrocannabinol acid (d).

Source Thomas and ElSohly53.
Molecular structures of cannabidiol (a), cannabidiol acid (b), tetrahydrocannabinol (c) and tetrahydrocannabinol acid (d).