Figure 1
From: Quantifying multiple stain distributions in bioimaging by hyperspectral X-ray tomography

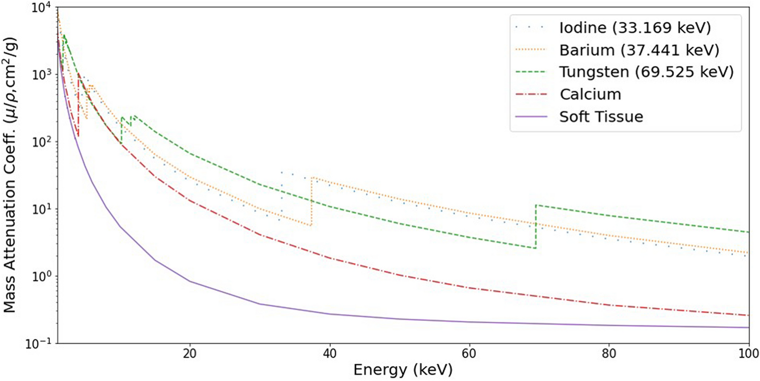
Attenuation variation as a function of energy. Known values of the mass attenuation coefficient shown for a number of materials. Across the hard X-ray energy range, many elements exhibit sharp rises in attenuation at their absorption edge positions (K-edge energies given in legend), providing strong contrast relative to soft tissue or bone (calcium) structures. Values extracted from the NIST online database2.