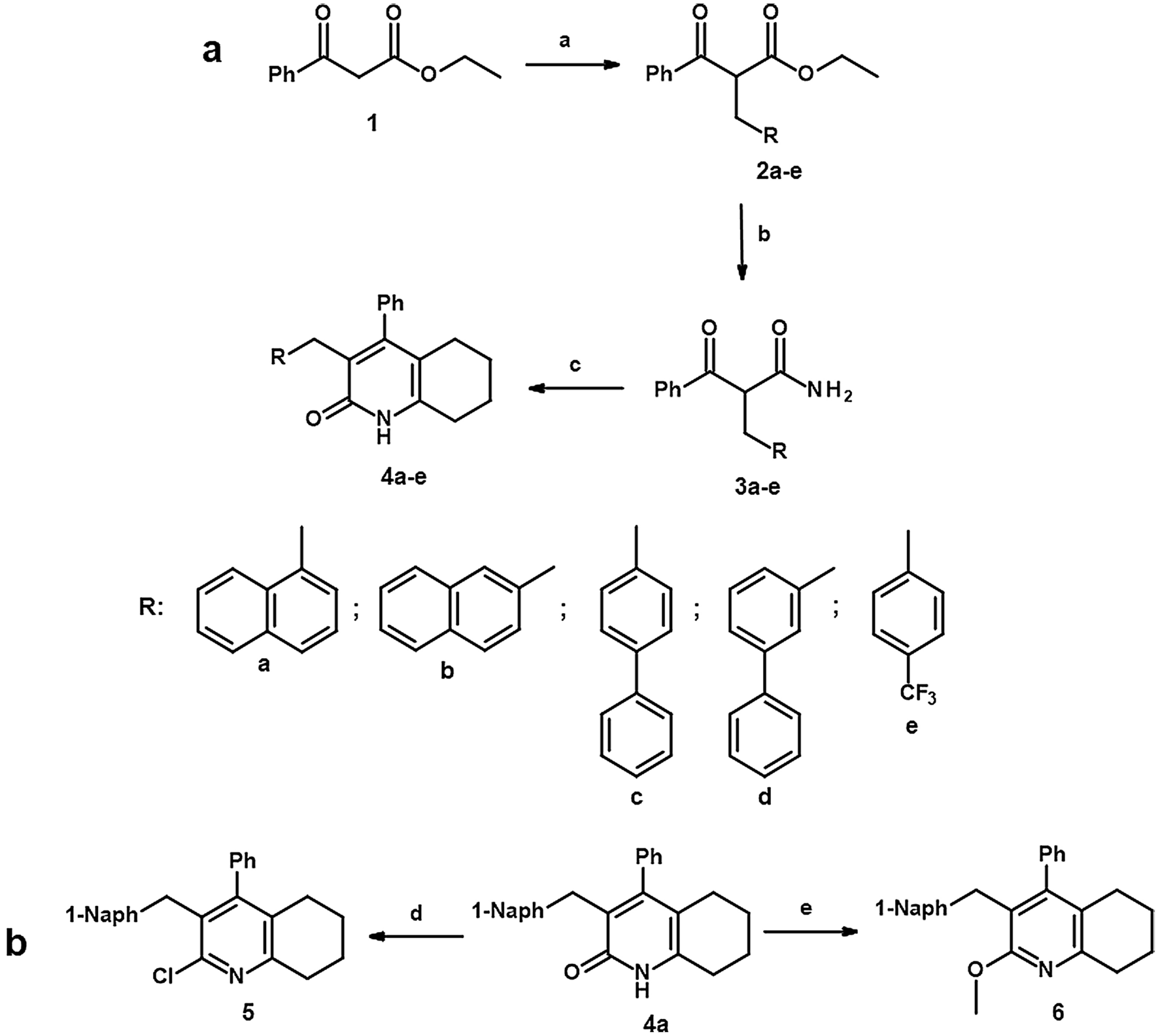
Figure 2

Synthetic pathways for the preparation of new tetrahydroquinolinone derivatives: (a) RCH2X, K2CO3/DMF, 60 °C, 5 h; (b) 24% NH3 aq, 50 °C, 24–72 h; (c) TsOH/toluene, reflux, 12 h; (d) PhP(O)Cl2, 160 °C, 16 h; (e) Ag2CO3, CH3I/CHCl3, RT, 12 h.