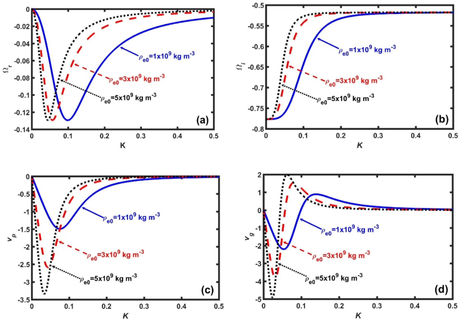
Figure 3
From: A hybrid GNA instability

Same as Fig. 1, but for \(\rho_{h0} = 1 \times 10^{15}\) kg m−3 (fixed). The different lines link to \(\rho_{e0} = 1 \times 10^{9}\) kg m−3 (solid blue line), \(\rho_{e0} = 2 \times 10^{19}\) kg m−3 (red dash-dash line), and \(\rho_{e0} = 3 \times 10^{9}\) kg m−3 (black dotted line), respectively.