Figure 1
From: Impact of beverage temperature on consumer preferences for black coffee

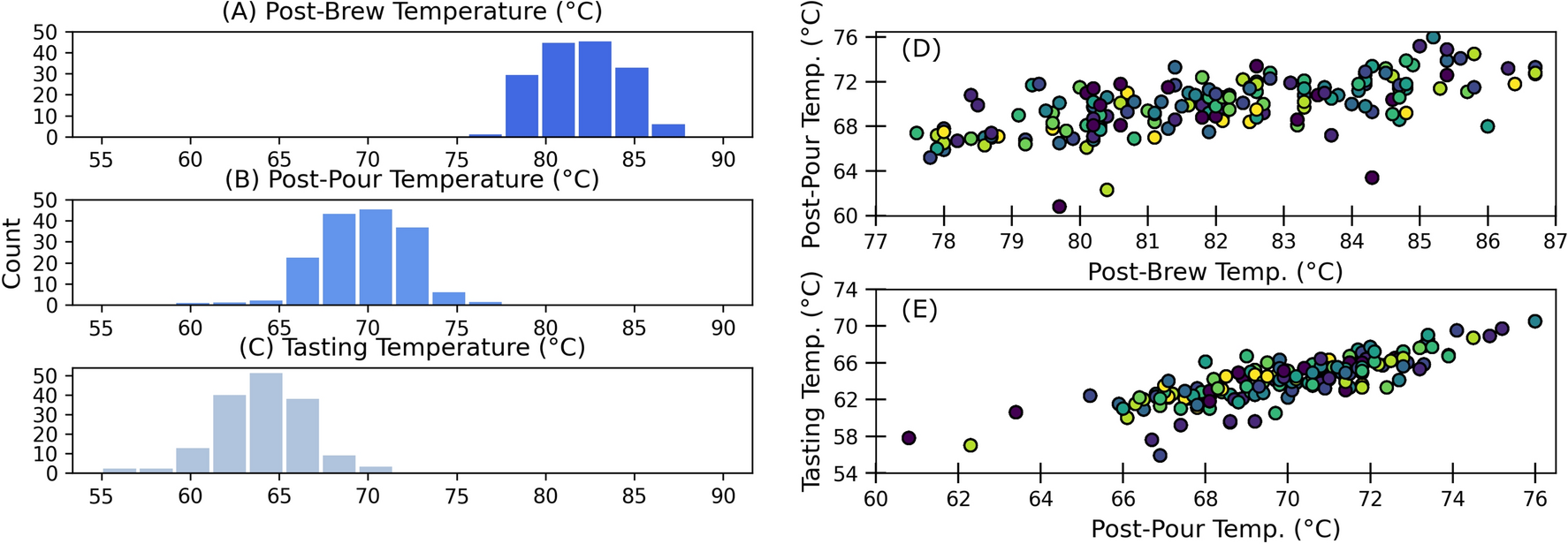
Temperature distributions for N = 162 separate brews. Histograms at left show the coffee temperature (A) immediately after completion of the brew, (B) immediately after pouring an approximately 30 mL sample into a paper cup, and (C) after a 90-s cooling delay and immediately prior to initial consumer tasting. Scatter plots in (D) and (E) show the correlation between post-brew temperature, post-pour temperature, and tasting temperature; different marker colors indicate different service order during a tasting session (with no apparent correlations).