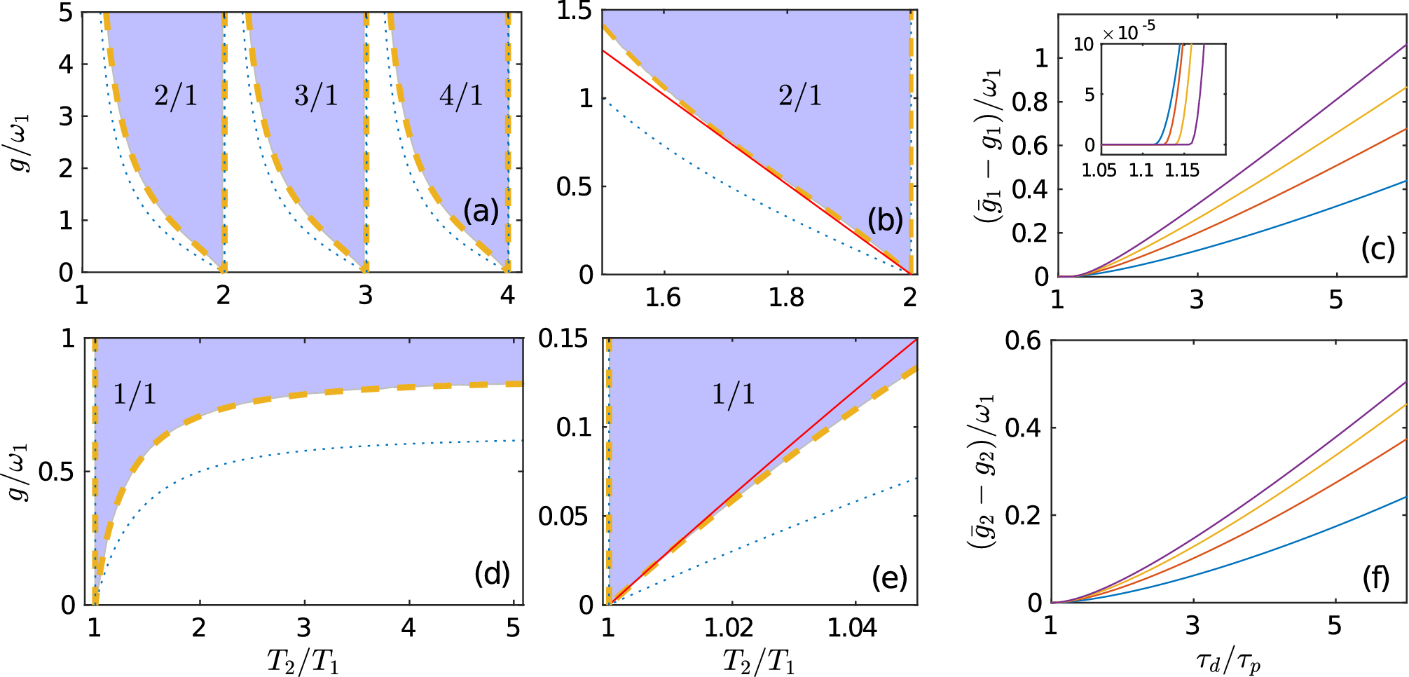
Figure 2
From: Interplay of different synchronization modes and synaptic plasticity in a system of class I neurons

Effect of STDP on the synchronization of two QIF neurons. The top and bottom rows correspond to modes (i) and (ii), respectively. Arnold tongues of (a) synchronous asymptotic mode (i) with indicating winding numbers \(w=n/1\) (\(n=2,3,4\) are the number of spikes generated by the first neuron in one period of the second neuron) and (d) synchronous asymptotic mode (ii) with the winding number \(w=1/1\). Blue dotted and yellow dashed curves show the boundaries of ATs for fixed synaptic weights and in the presence of STDP, respectively. Analytic expressions for these boundaries are presented in “Quadratic integrate-and-fire neurons”. The colored areas mark different frequency locking zones obtained by direct numerical simulation of two coupled QIF neurons in the presence of STDP. (b,e) Enlarged areas of (a,d). Here, additional red lines show approximations of AT boundaries near resonances, defined by the general analytical expressions (35) and (38), which are valid for any class I neurons. (c,f) Difference of AT boundaries with STDP (\(\bar{g_i}\)) and without STDP (\(g_i\)) depending on the ratio of STDP learning windows \(\tau _d/\tau _p\). Curves of different colors correspond to different values of \(T_2/T_1\). In panel (c), \(T_2/T_1\): 1.9—purple, 1.8—yellow, 1.7—red, and 1.6—blue. In panel (f), \(T_2/T_1\): 1.2—purple, 1.15—yellow, 1.1—red, 1.05—blue. Values of other parameters: \(T_1=2\pi\), \(p=d=0.001\), \(\tau _p=\pi /3\), \(\tau _d = \pi\). The inset in (c) shows the enlarged area around \(\tau _d/\tau _p \approx 1\).