Figure 5
From: Comparative study on high-pressure physical properties of monoclinic MgCO3 and Mg2CO4

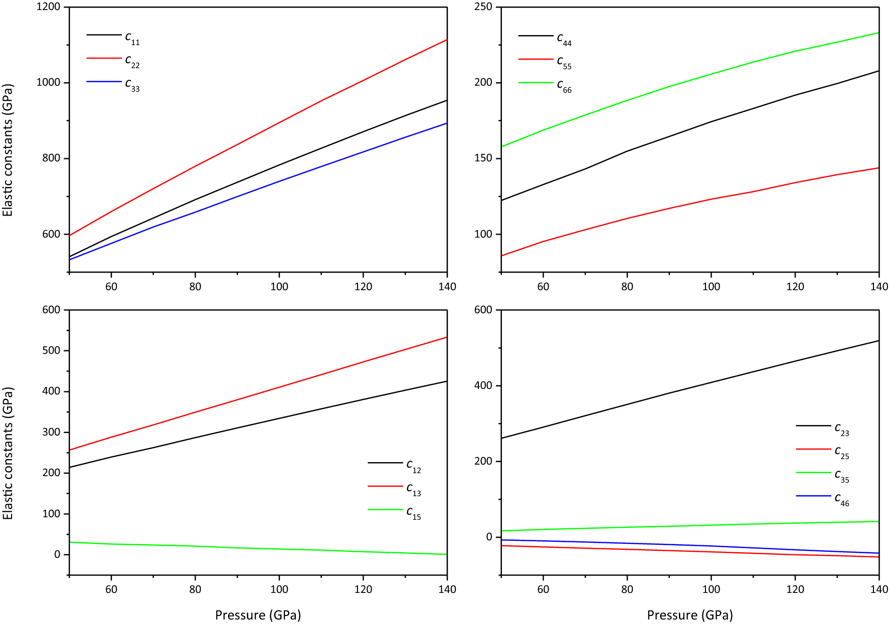
Elastic constants of Mg2CO4-P21/c.
From: Comparative study on high-pressure physical properties of monoclinic MgCO3 and Mg2CO4

Elastic constants of Mg2CO4-P21/c.