Figure 1

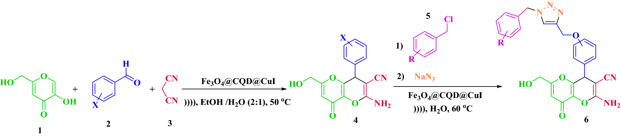
Synthesis of kojic acid based dihydropyrano-pyran and kojic acid-triazole based dihydropyrano-pyran in click reaction by Fe3O4@CQD@CuI as catalyst in the optimized conditions.

Synthesis of kojic acid based dihydropyrano-pyran and kojic acid-triazole based dihydropyrano-pyran in click reaction by Fe3O4@CQD@CuI as catalyst in the optimized conditions.