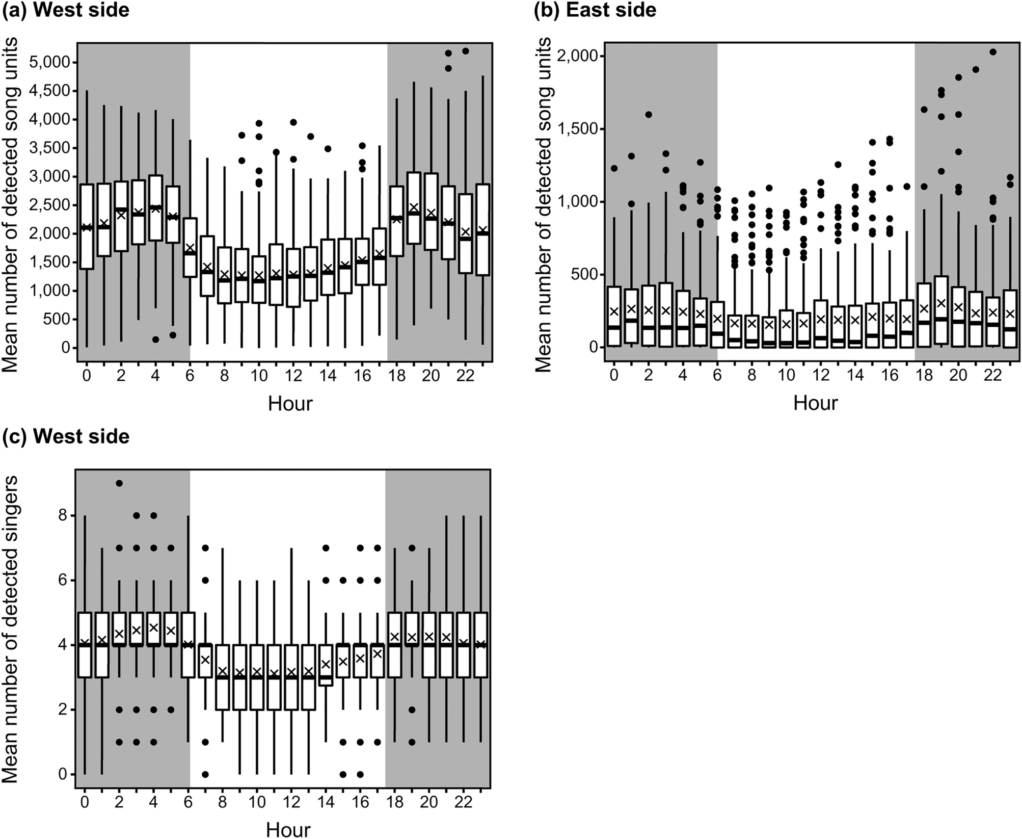
Figure 3

Diel variations in (a) the mean number of detected song units on the west side of Chichijima Island; (b) the mean number of detected song units on the east side of Chichijima Island; and (c) the mean number of detected singers on the west side of Chichijima Island. The lines in the middle of boxes represent the median, and the cross marks show the mean. The bottom and top of the boxes indicate the 25th and 75th percentiles. Whiskers represent 1.5 times the interquartile range, and dots outside of the whiskers represent outliers. Grey and white areas indicate night and daytime, respectively. Significant diel variations were observed on both sides of the island (Kruskal–Wallis rank sum test, all p < 0.001). Note that the y-axis scale is different in each graph.