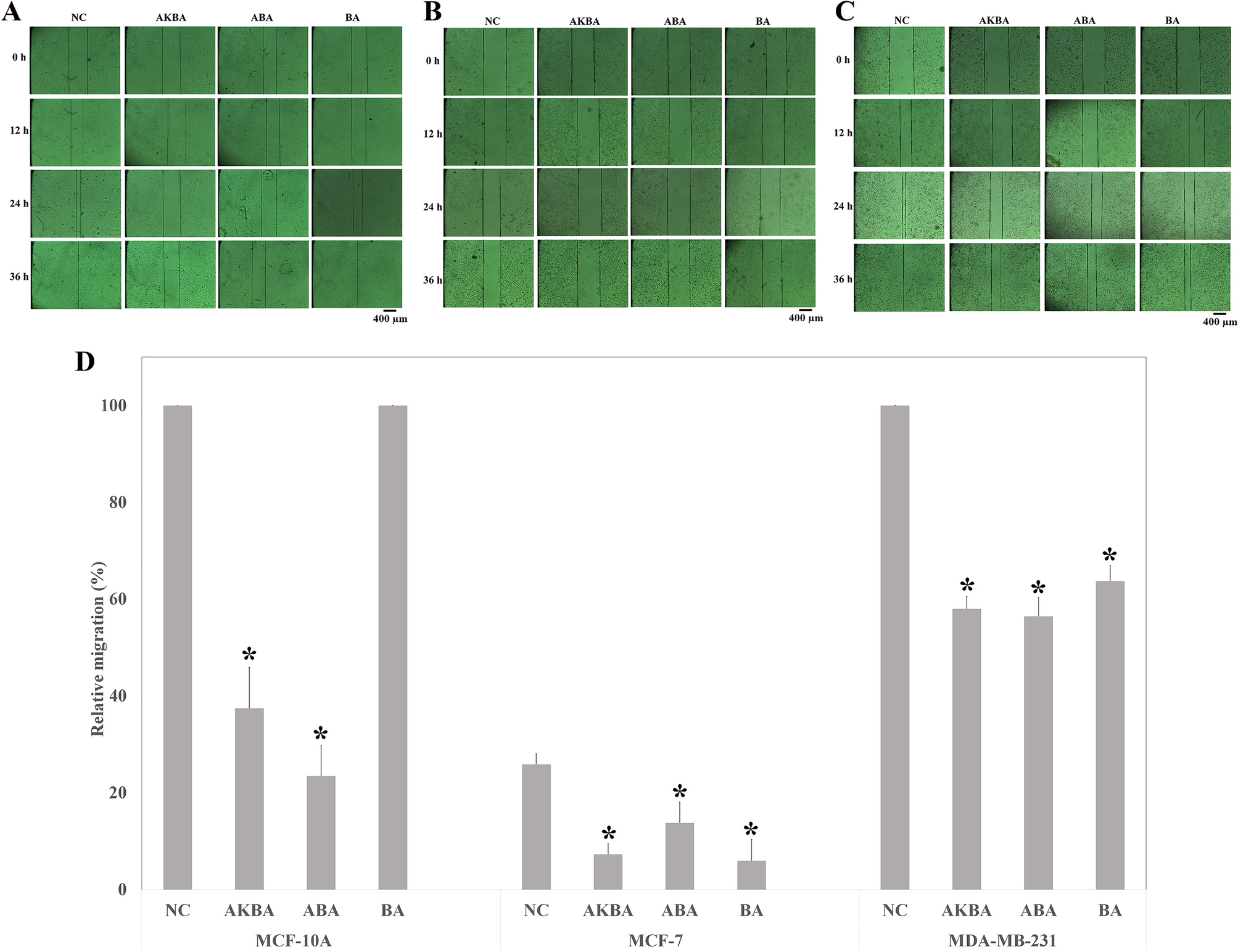
Figure 3

Scratch migration assay. The photos were taken 12, 24 and 36 h after treatment. (A) Scratch closure in MCF-10A cells treated with AKBA, ABA, and BA compared with the negative control (NC). (B) Scratch closure in the MCF-7 cells treated with AKBA, ABA, and BA compared to the NC. (C) Scratch closure in the MDA-MB-231 cell line treated with AKBA, ABA, and BA compared to the NC. (D) Quantitative analysis of treated- and non-treated- MCF-10A, MCF-7, and MDA-MB-231 cells' migration. *indicates a significant difference compared to the NC (P < 0.05) (N value = 3).