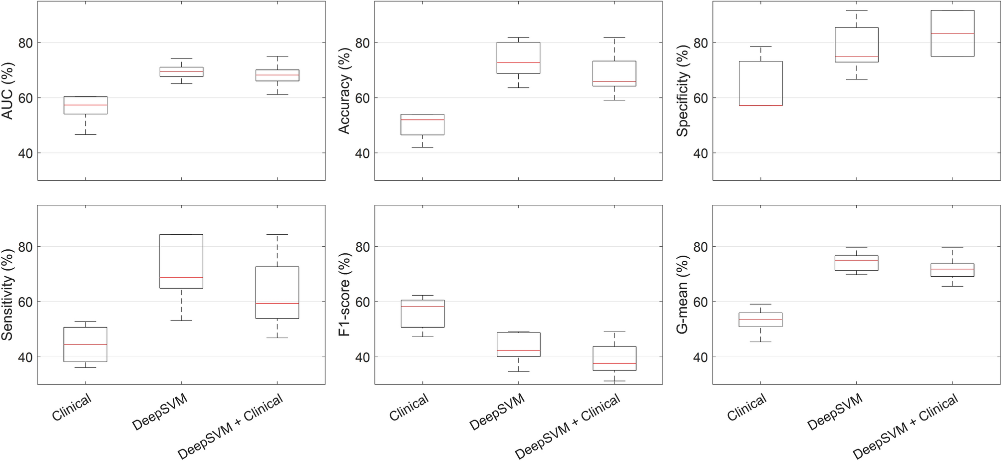
Figure 1

Boxplots of the performances of the 1-year disease-free survival predictive models in terms of percentage AUC, accuracy, sensitivity, specificity, F1-score and G-mean. The results are evaluated by implementing a fivefold cross validation scheme for five rounds on the CPTAC-CM public dataset.