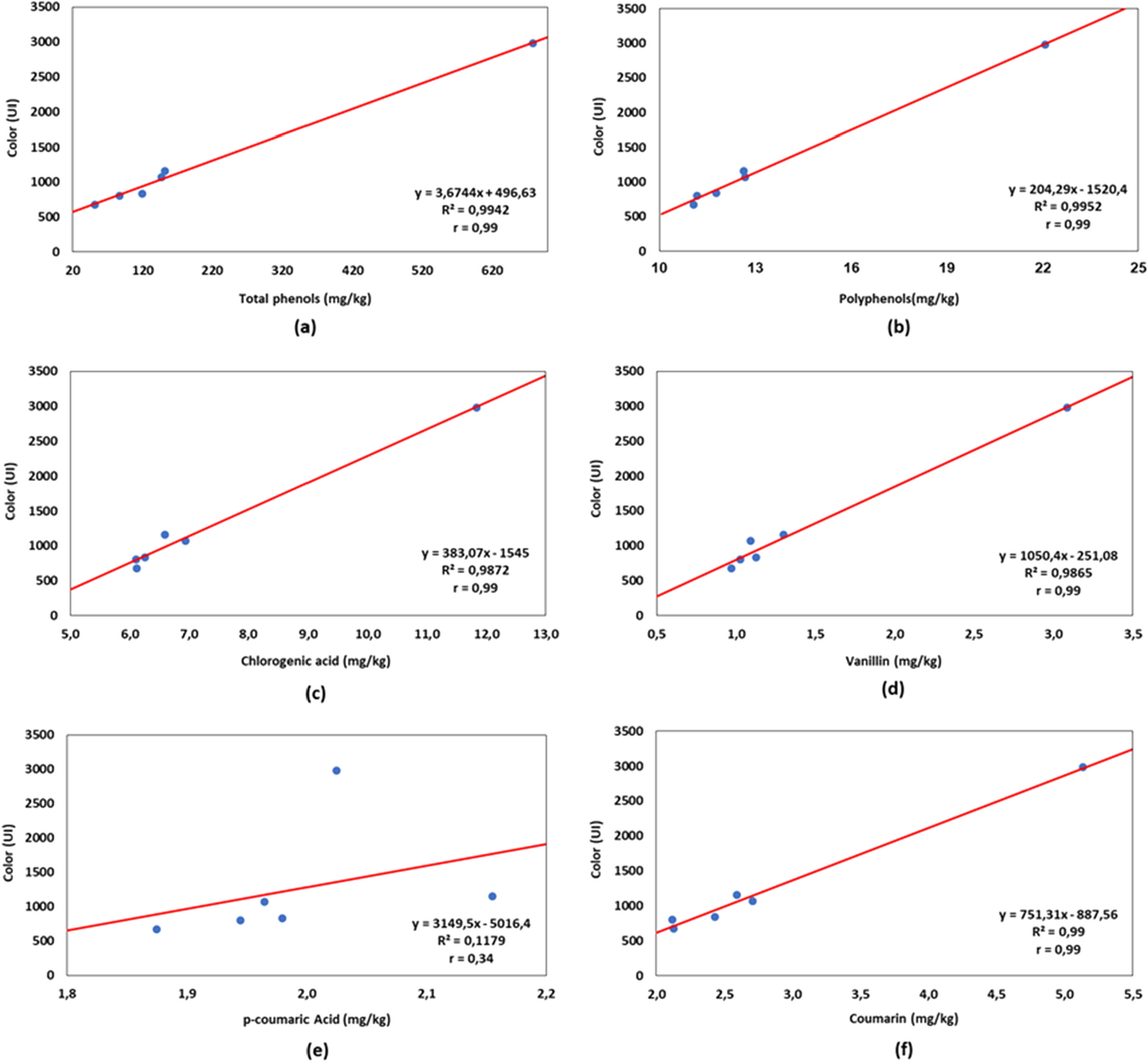
Figure 5

Correlation between VHP sugar color and: (a) total phenols; (b) total polyphenol content; (c) chlorogenic acid; (d) vanillin; (e) p-coumaric acid; (f) coumarin.

Correlation between VHP sugar color and: (a) total phenols; (b) total polyphenol content; (c) chlorogenic acid; (d) vanillin; (e) p-coumaric acid; (f) coumarin.