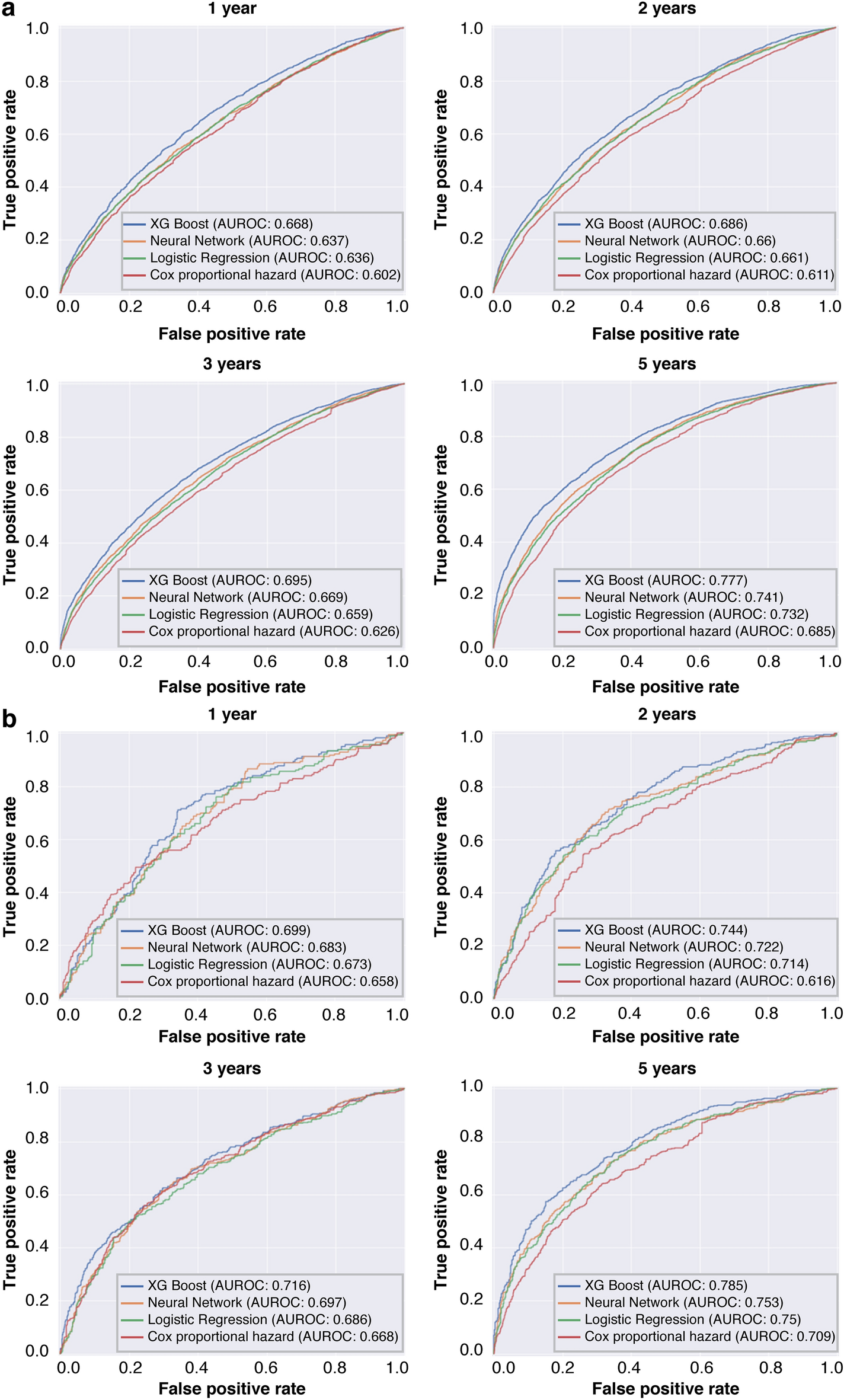
Figure 3

Performance of full prediction models with top 60 variables and 16 laboratory values. (a) Diagnosis of CKD/HF and (b) hospitalizations for CKD/HF. AUROC area under the receiver operating characteristic curve, CKD chronic kidney disease, HF heart failure.