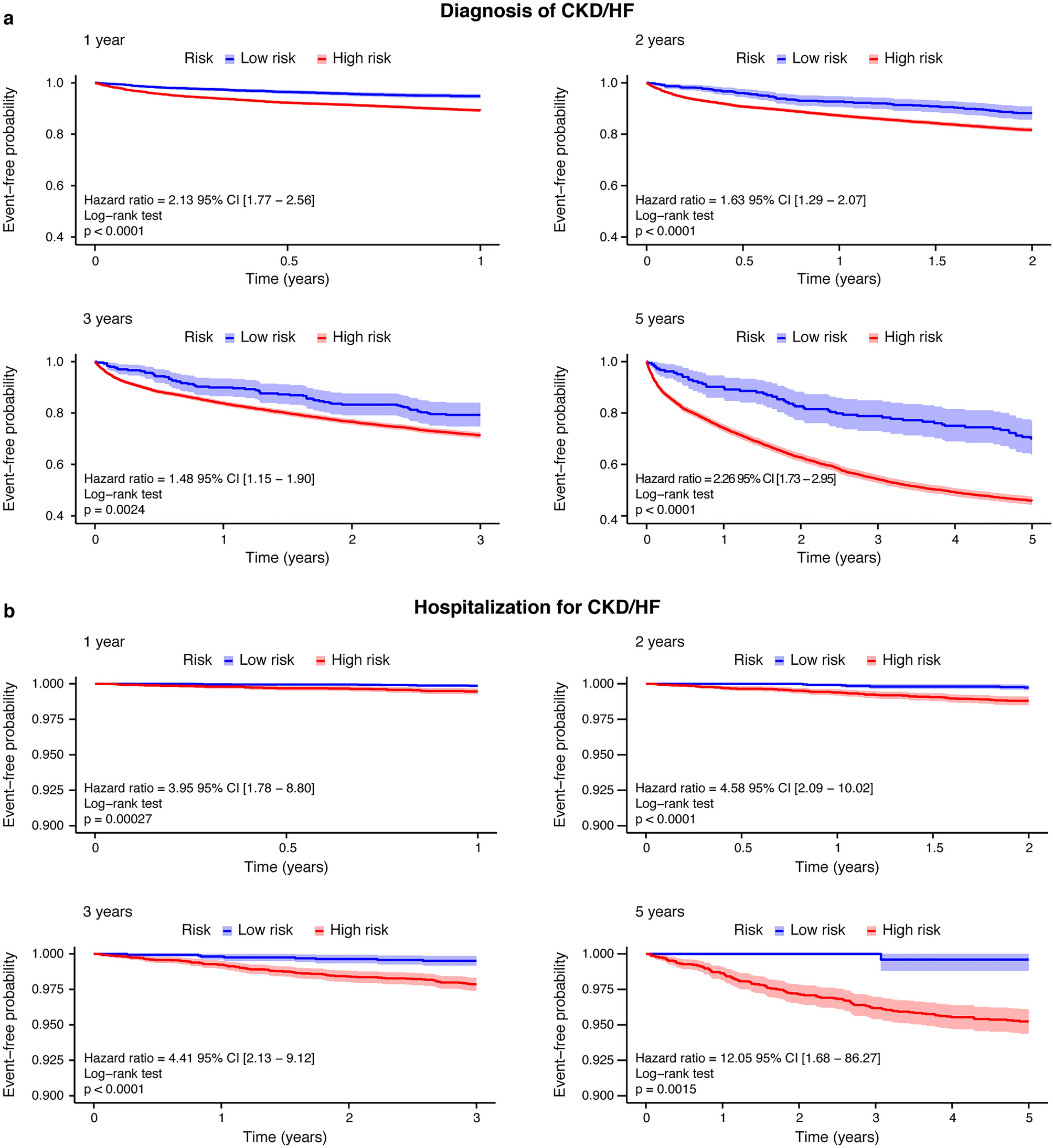
Figure 6

Kaplan–Meier plots of the high-risk and low-risk groups based on risk predictions for primary outcomes in the external validation set. (a) Diagnosis of CKD/HF and (b) hospitalizations for CKD/HF. CKD chronic kidney disease, HF heart failure.