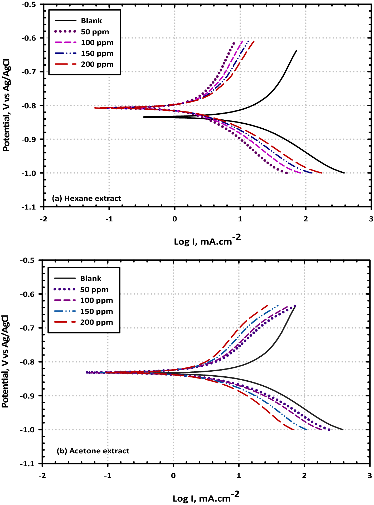
Figure 4

Representative the curves of potentiodynamic polarization for mild steel in 3.5% NaCl solution without and with different concentrations (50, 100, 150, and 200 ppm) of (VF) (a) Hexane extract and (b) Acetone extract included sweeping the potential between -200 and + 200 mV from OCP at a scan rate of 0.001 V/s at 298 K.