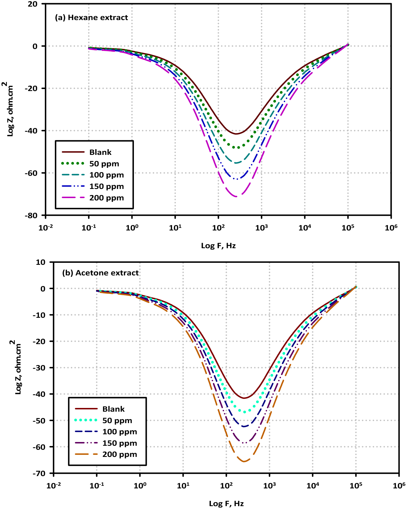
Figure 7

Electrochemical Impedance Spectroscopy (EIS diagrams); Phase plots for mild steel in 3.5% NaCl solution without and with different concentrations (50, 100, 150, and 200 ppm) of (a) Hexane extract and (b) Acetone extract at OCP and 298 K.

Electrochemical Impedance Spectroscopy (EIS diagrams); Phase plots for mild steel in 3.5% NaCl solution without and with different concentrations (50, 100, 150, and 200 ppm) of (a) Hexane extract and (b) Acetone extract at OCP and 298 K.