Figure 1
From: Experimental climate change impacts on Baltic coastal wetland plant communities

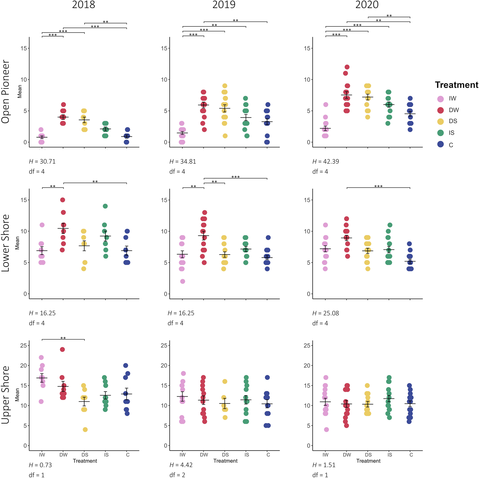
Number of species (species richness) per treatment in 2018, 2019 and 2020 for Open Pioneer, Lower Shore and Upper Shore communities. One dot represents an individual species. The cross represents the standard error (se) (vertical) and mean (horizontal), while horizontal bars indicate significant differences among treatments. The level of significance is coded as **p = 0.01, and ***p = 0.001. Differences in species richness between treatments were examined using Kruskal Wallis followed by Dunn’s post hoc test with Bonferroni adjustments in the years 2018, 2019 and 2020. Kruskal Wallis results are shown as H-value and degrees of freedom (df). Pink: increased water level (IW); red: decreased water level (DW); yellow: decreased salinity (DS); green: increased salinity (IS); blue: control (C). See Table 2 for treatment details. More information can be found in the Supplementary Table S1, Supplementary Figs. S4, S5, and S6.