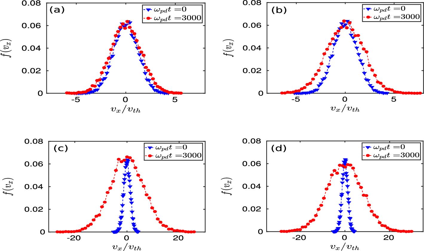
Figure 3
From: Parametric decay induced first-order phase transition in two-dimensional Yukawa crystals

Velocity distribution functions \(f(v_x)\) for the x-component of velocity \(v_x\) have been shown at two different instants of time \(\omega _{pd}t = 0\) (blue triangles), and \(\omega _{pd}t = 3000\) (red dots). In subplots (a)–(d), the \(f(v_x)\) have been evaluated for the simulation runs with \(d/a = 1.22\), 1.50, 1.51, and 1.72, respectively.