Figure 2
From: The involvement of collagen family genes in tumor enlargement of gastric cancer

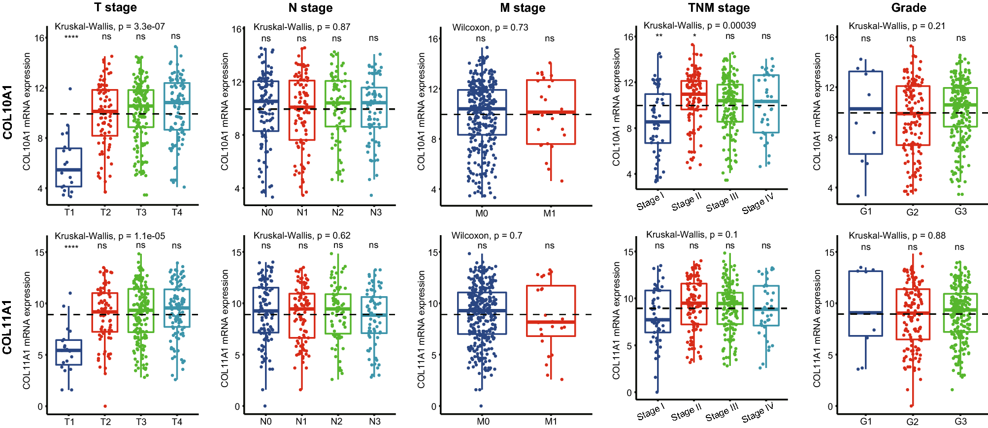
Differential expression of COL10A1 and COL11A1 between different stages of GC. The mean mRNA expression value of each gene in all tumor samples was set as reference for all the comparisons.