Figure 11

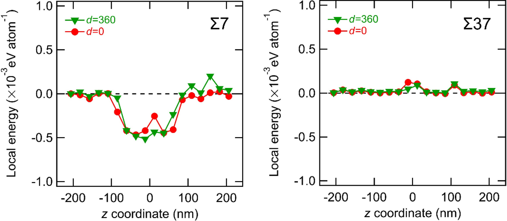
Change in average atomic energy of each local regions near Σ7 and Σ37 GBs induced by the second screw dislocations. The energy value farthest from the dislocation introduction point was set to zero.

Change in average atomic energy of each local regions near Σ7 and Σ37 GBs induced by the second screw dislocations. The energy value farthest from the dislocation introduction point was set to zero.