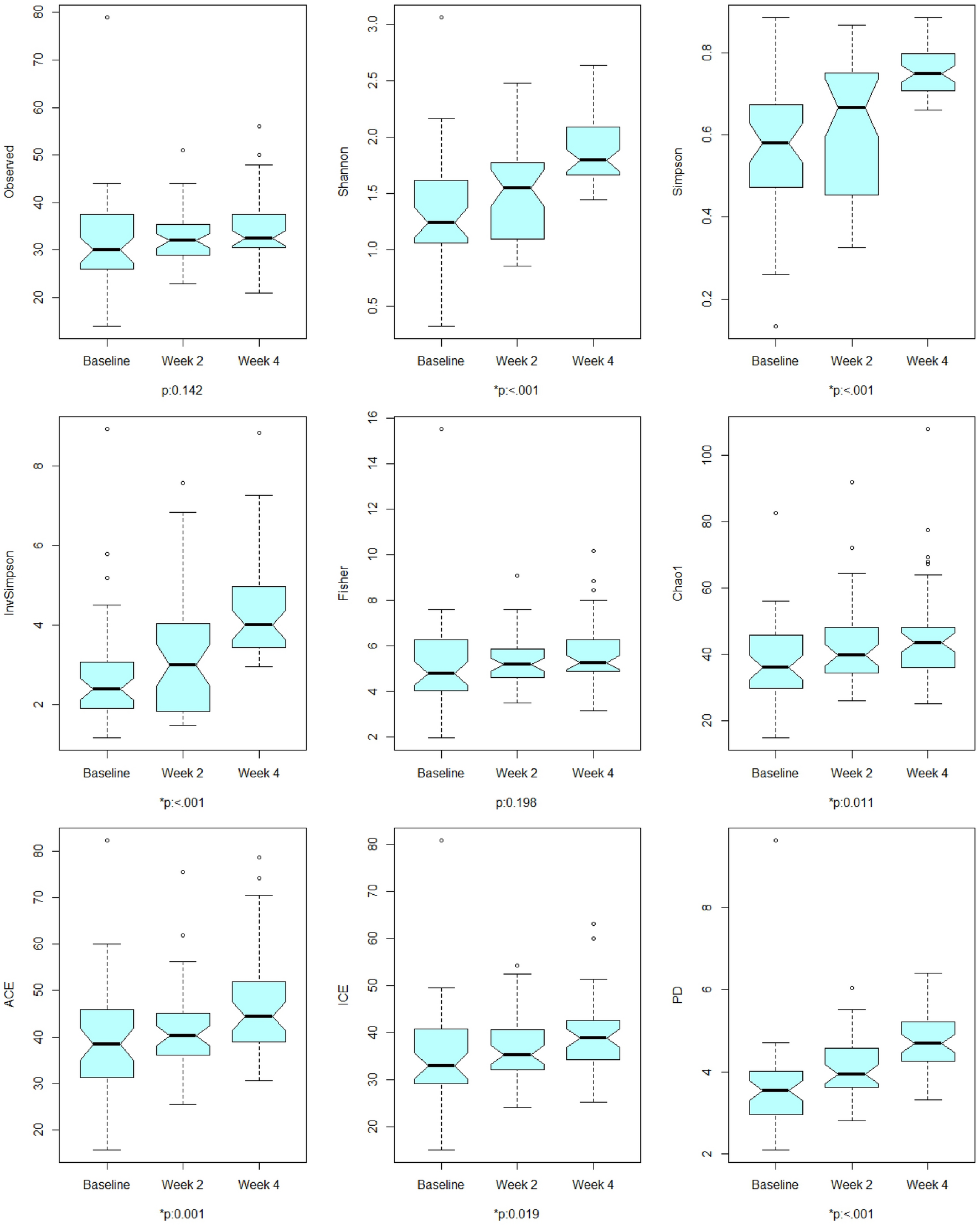
Figure 3

The results for comparitive analysis in alpha-diversity (global test). The p-values were calculated using LRT based on LMM for global testing to see if all groups have the same distribution in each alpha-diversity index (\({H}_{0}\)) or if at least one group has a different distribution in each alpha-diversity index (\({H}_{0}\)). *p represents statistical significance at the level of 5%.