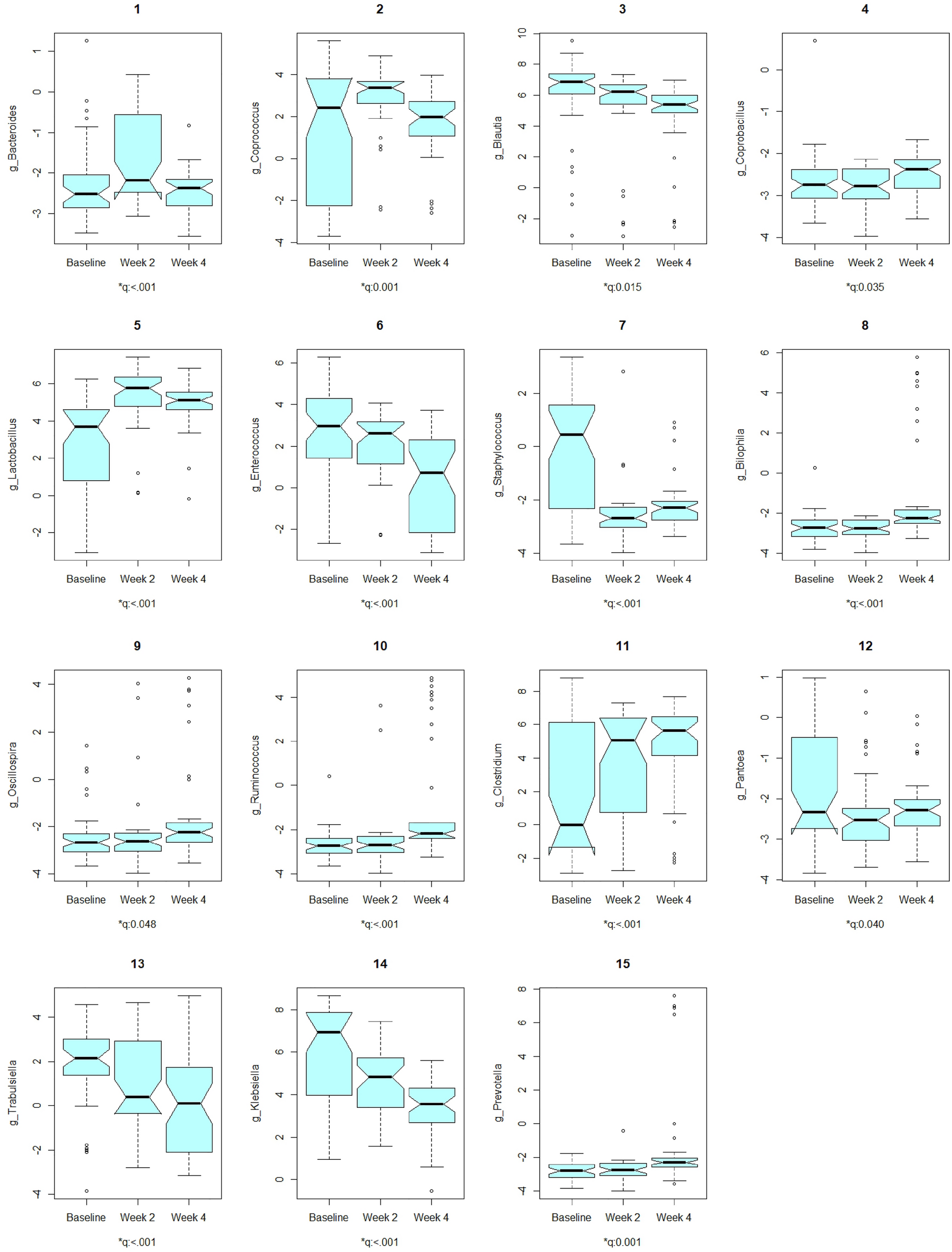
Figure 5

The 15 significant discoveries for comparitive analysis on genera (global test). The Q-values are the FDR adjusted P-values for global testing using LRT based on LMM to see if all groups have the same distribution in each genus (\({H}_{0}\)) or if at least one group has a different distribution in each genus index (\({H}_{0}\)).