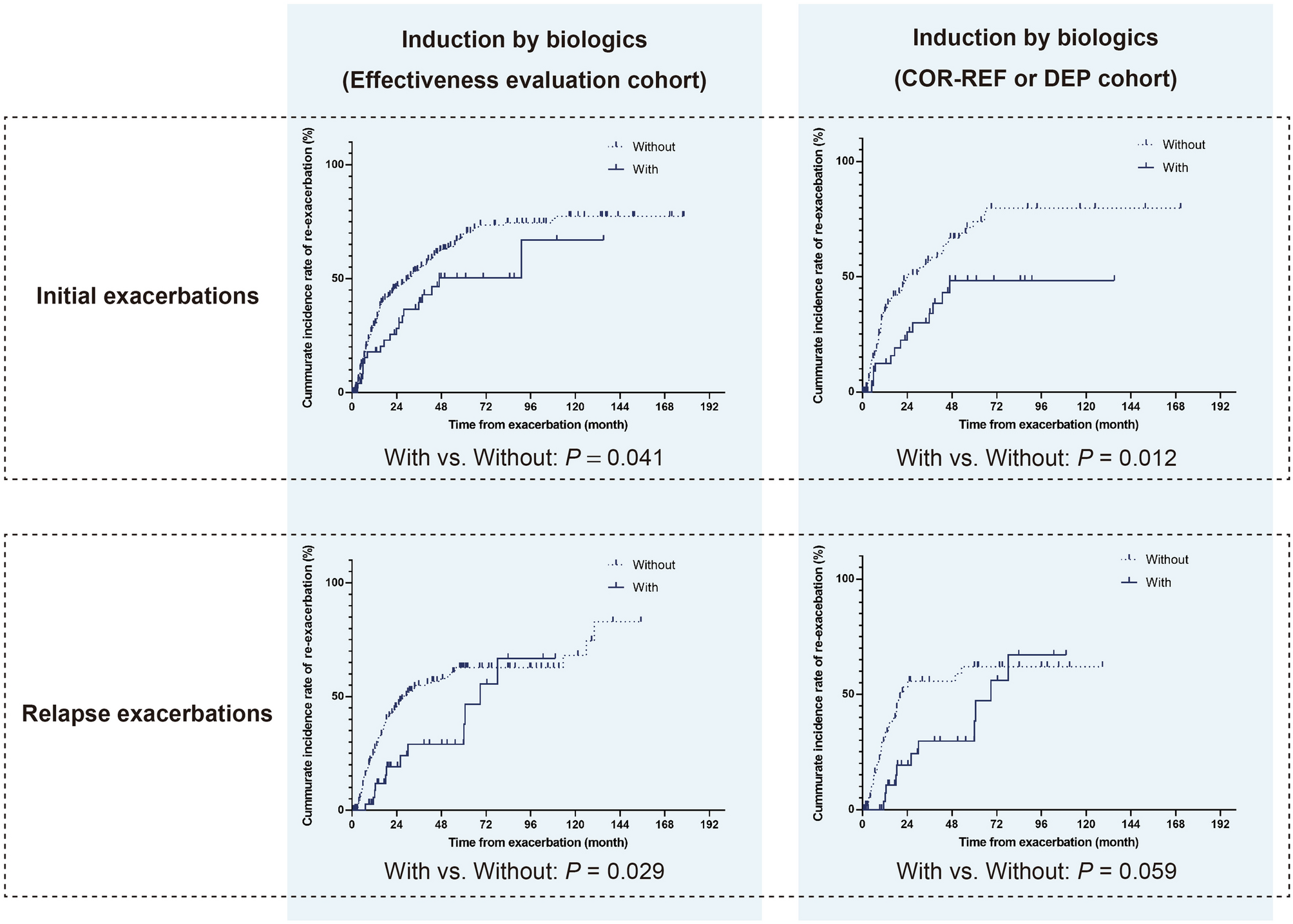
Figure 4

Cumulative incidences of re-exacerbations in patients with moderate to severe ulcerative colitis exacerbations. The left column: the impact of induction of biologics on the cumulative incidence of re-exacerbation in patients with the effectiveness evaluation cohort. The right column: the impact of induction of biologics on the cumulative incidence of re-exacerbation in patients with the COR-REF or DEP cohort.