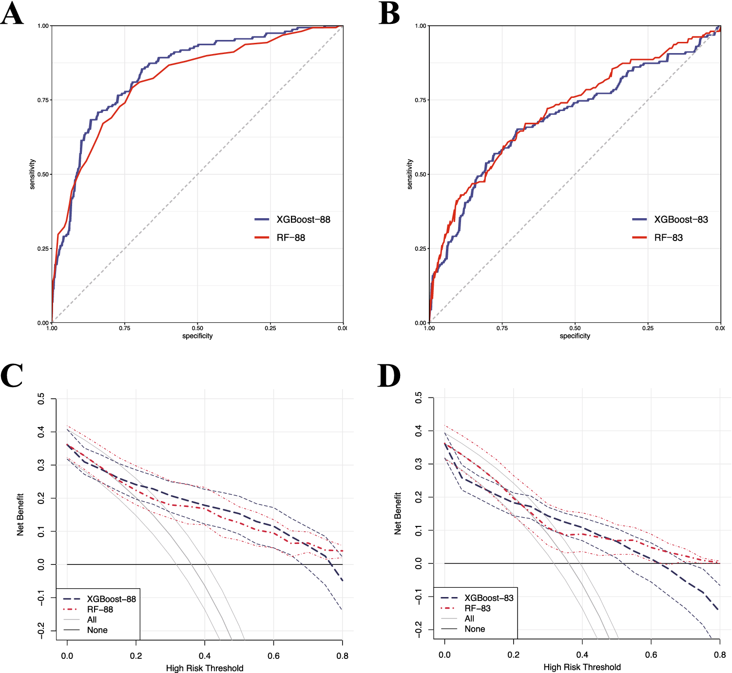
Figure 2

Receiver operating characteristic (ROC) curves and decision curve analysis (DCA) results in the testing set. (A,B) ROC curves of XGBoost and RF models based on 88 features and 83 features, respectively. (C,D) DCA for classifying DKD in T2DM patients by machine learning (ML) models based on 88 features and 83 features, respectively. The net benefit and 95% confidence interval for the ML models are shown with blue and red dashed lines. Two extreme strategies, classifying for all and classifying for none, are represented by solid grey and solid black lines.