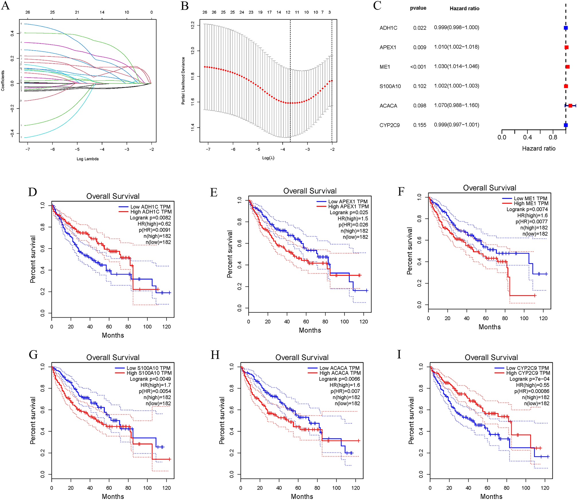
Figure 2

Construction of a prognostic model. (A) Plots for LASSO expression coefficients of 27 lipid metabolism related genes. (B) Cross-validation plot for the penalty term. (C) Relationship between four glycolysis-related lncRNAs and prognosis of HCC patients. (D–I) Survival curves of patients with differential expression of six genes in TCGA.