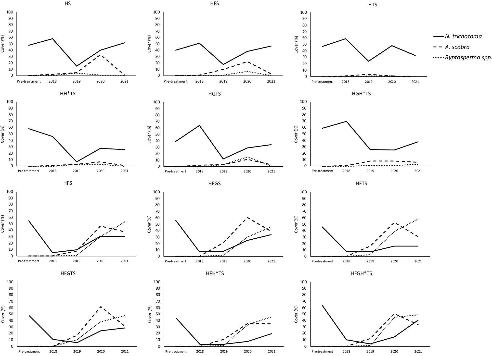
Figure 2

The mean cover (%) of N. trichotoma (solid line) and the two-broadcast species: A. scabra (dashed line) and Rytidosperma spp. (dotted line) for each treatment over the five sampling periods.

The mean cover (%) of N. trichotoma (solid line) and the two-broadcast species: A. scabra (dashed line) and Rytidosperma spp. (dotted line) for each treatment over the five sampling periods.