Figure 2

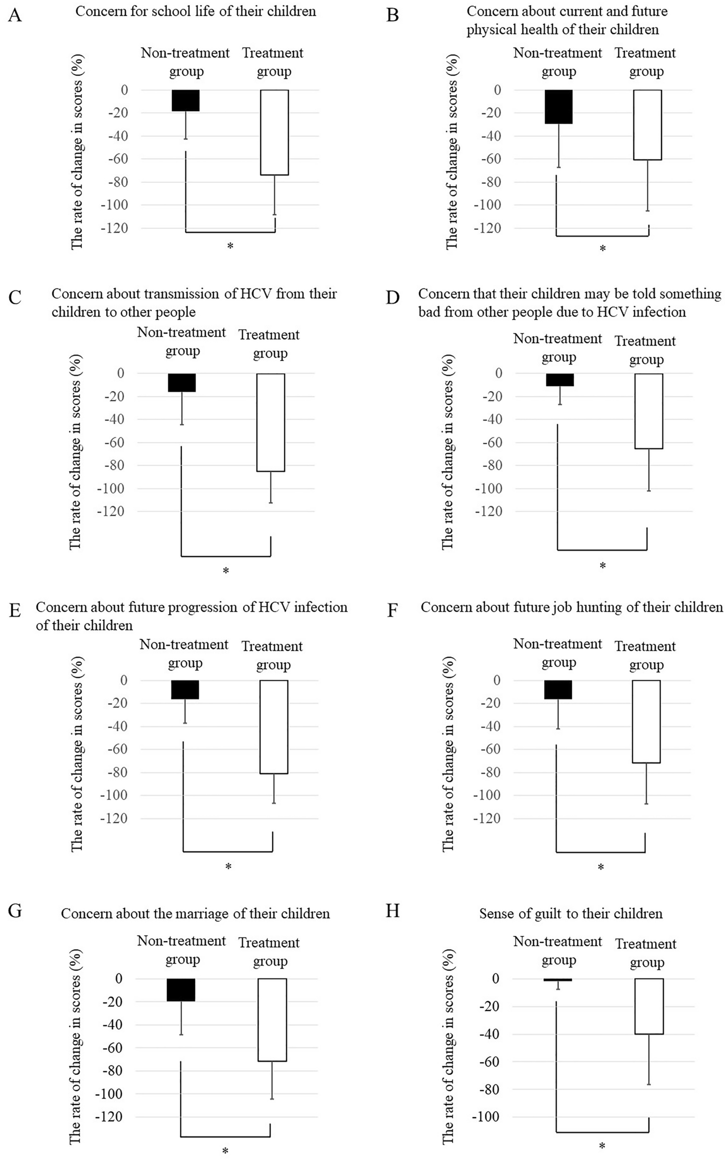
The rate of change in scores from the time of diagnosis to the present for the indicated questions related to mothers’ concerns about HCV infection in their children in Group A and B. *Represents with p < 0.05.

The rate of change in scores from the time of diagnosis to the present for the indicated questions related to mothers’ concerns about HCV infection in their children in Group A and B. *Represents with p < 0.05.