Figure 3
From: Investigating interactions between types of order in categorization

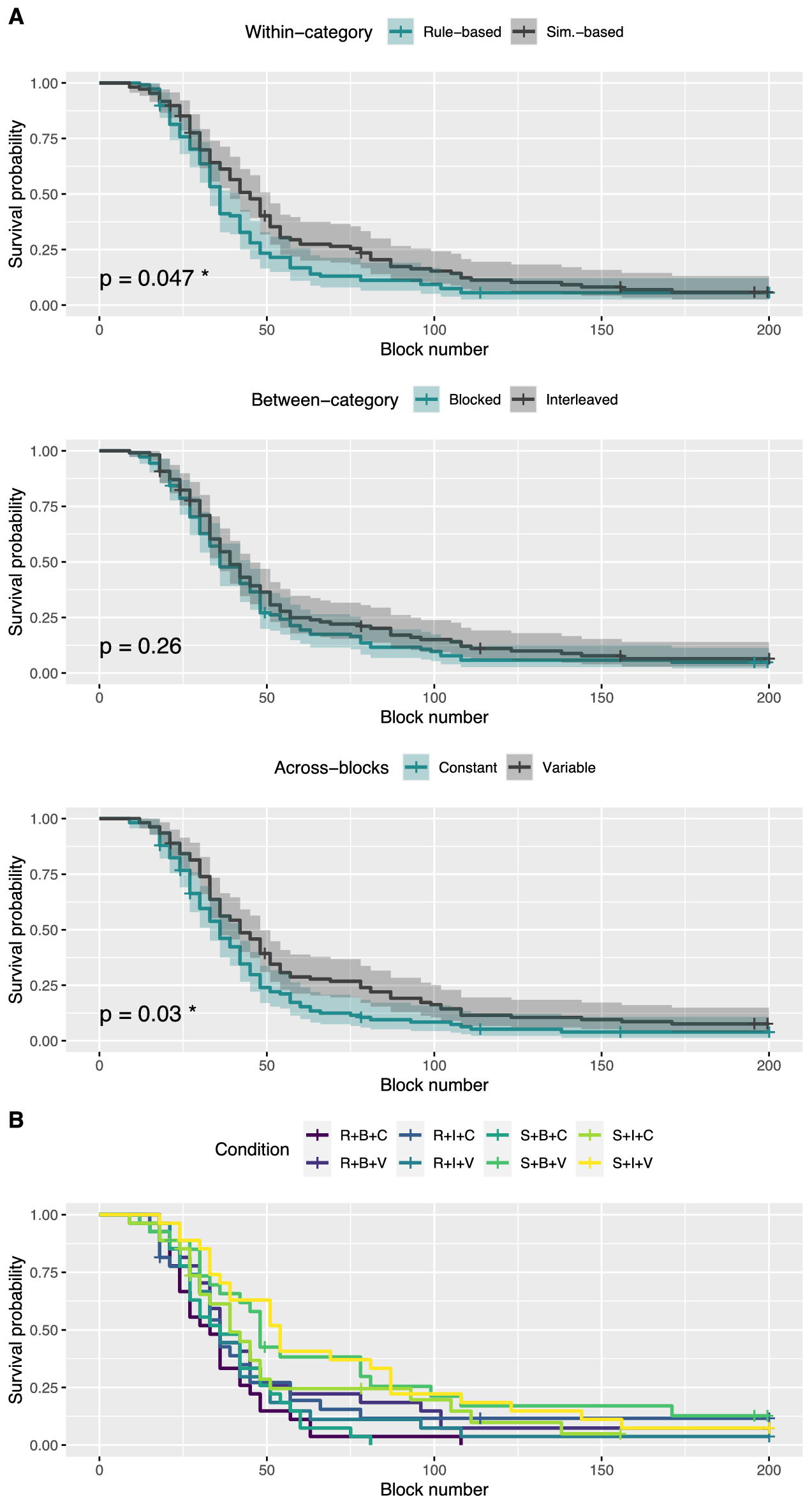
Kaplan-Meier survival curves as a function of block number for each type of order, taken separately (A) and combined (B). Transparent areas represent the 95% confidence intervals. Significance values of the log-rank test assessing the difference between survival curves are showed on the bottom-left side of each graph of (A). Significance values were corrected for multiple comparisons using the Benjamini-Hochberg correction with a FDR \(\le .05\).