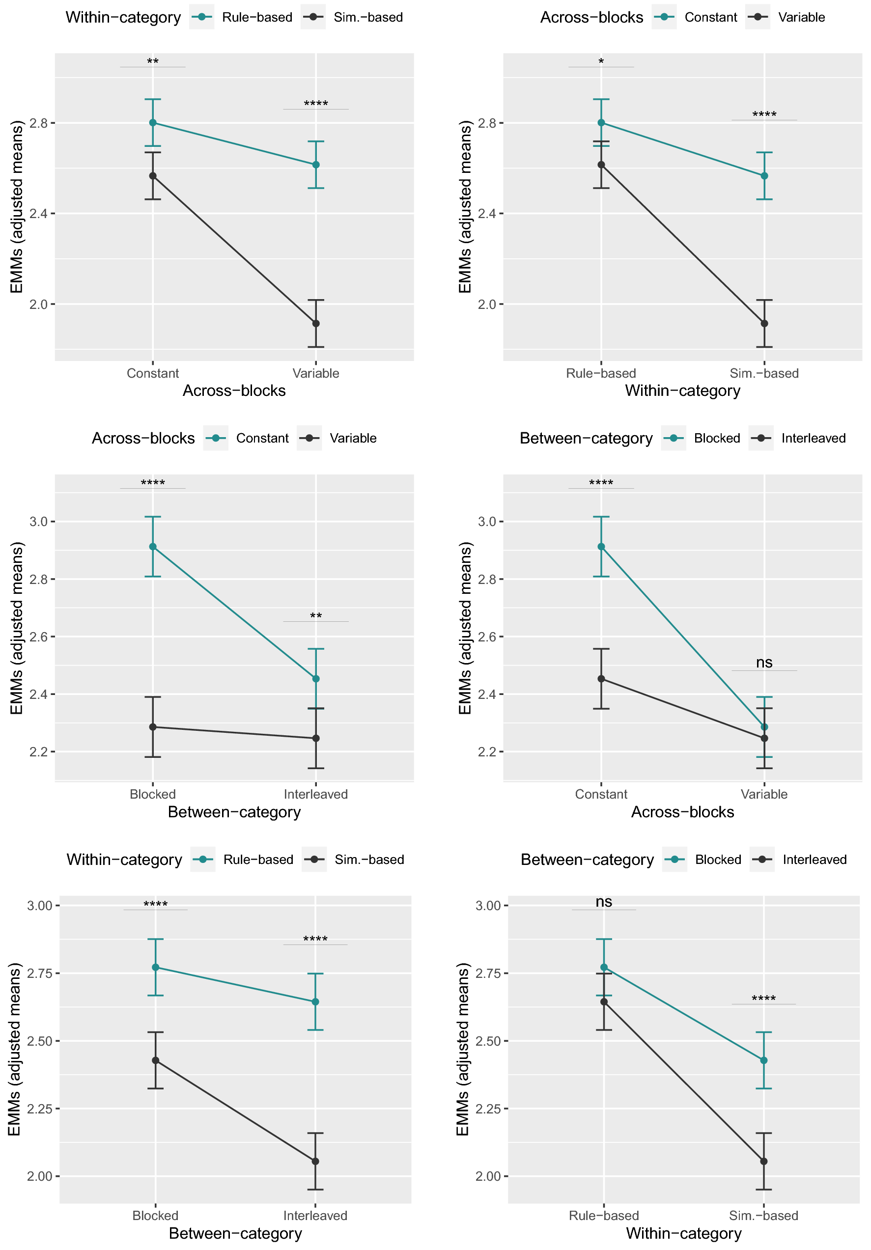
Figure 5
From: Investigating interactions between types of order in categorization

Simple main effect analysis for the significant interactions. Estimated marginal means (EMMs) for the interaction between within-category and across-blocks orders (on the top), between between-category and across-blocks orders (in the middle), and between within-category and between-category orders (on the bottom). Significance values were adjusted using the Benjamini-Hochberg correction with a FDR \(\le .05\).