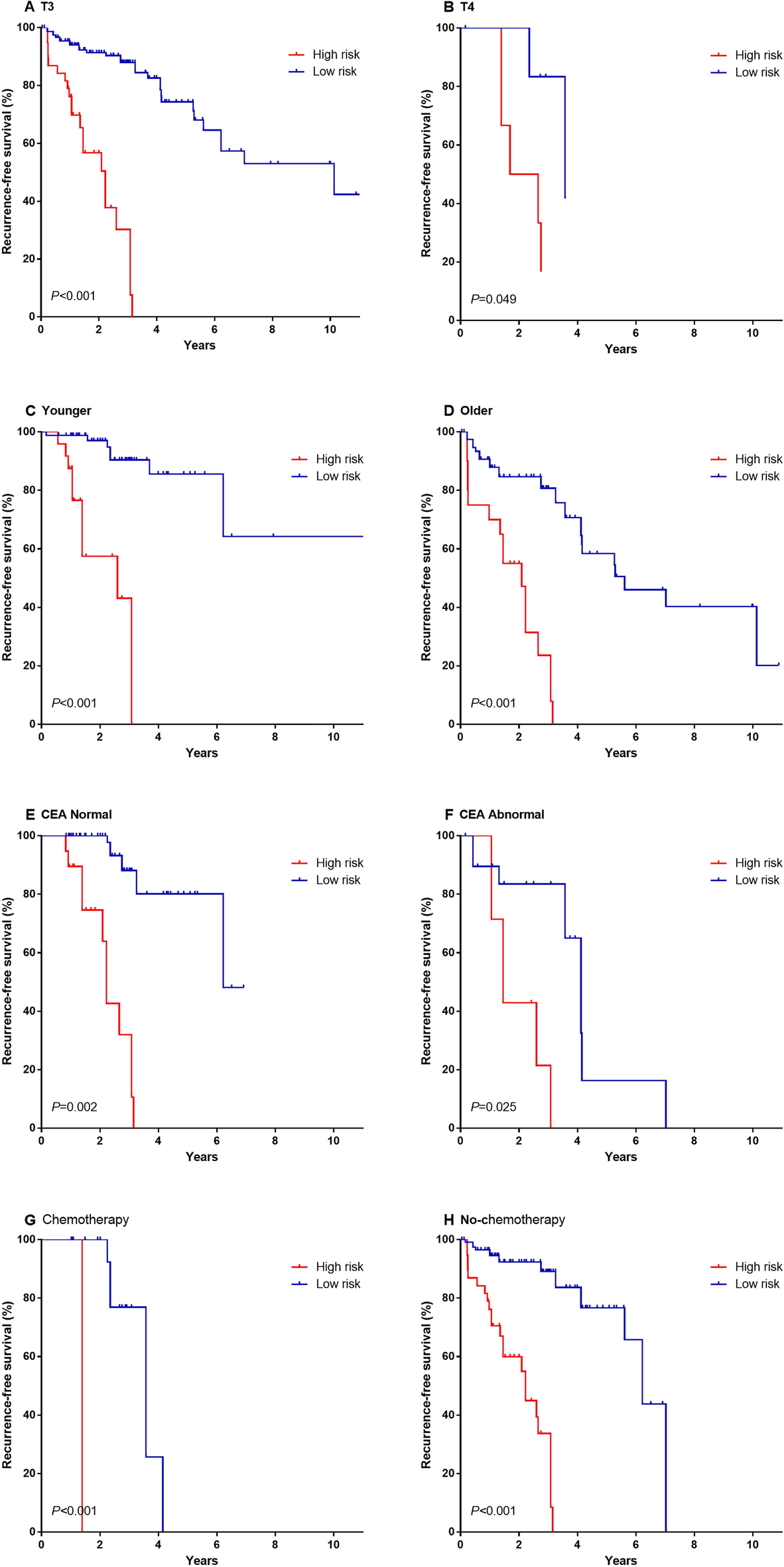
Figure 5
From: Prognostic and predictive value of a lncRNA signature in patients with stage II colon cancer

Kaplan–Meier survival analysis according to the 11-lncRNA signature stratified by clinicopathological risk factors in all 204 stage II colon patients. (A, B) T stage. (C, D) age. (E, F) preoperative CEA level. (G, H) postoperative chemotherapy or not. We calculated P values using the log-rank test.