Figure 6
From: Prognostic and predictive value of a lncRNA signature in patients with stage II colon cancer

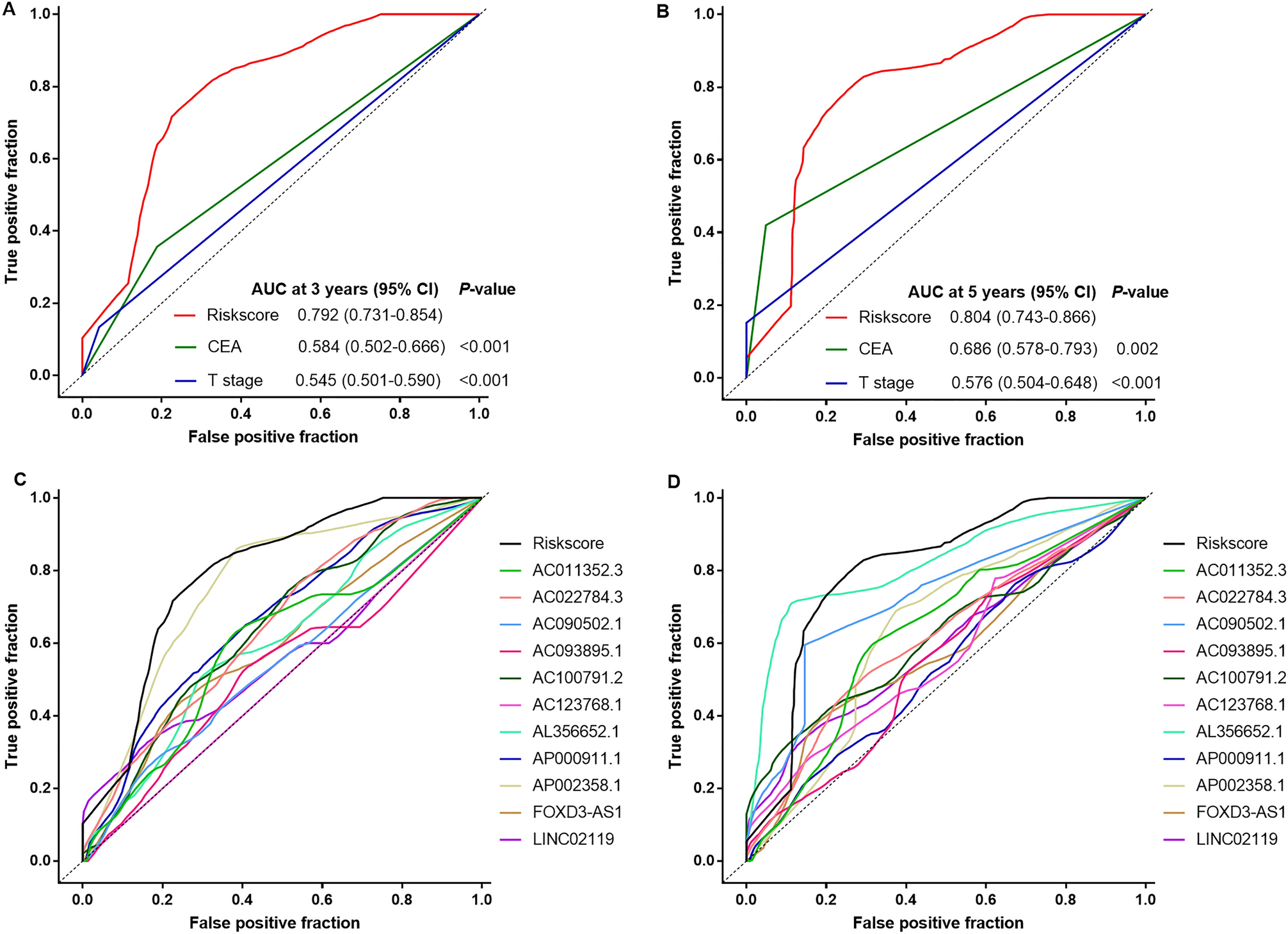
Time-dependent ROC curves to compare the prognostic accuracy of the 11-lncRNA signature with clinicopathological risk factors and single lncRNAs in the combination cohort. (A, B) Comparisons of the prognostic accuracy by the 11-lncRNA-based signature, age, preoperative CEA level and T stages. (C, D) Comparisons of the prognostic accuracy by the 11-lncRNA-based signature, and single lncRNA. P values show the AUC of the lncRNA signature vs the AUC of other factors.