Figure 7
From: Prognostic and predictive value of a lncRNA signature in patients with stage II colon cancer

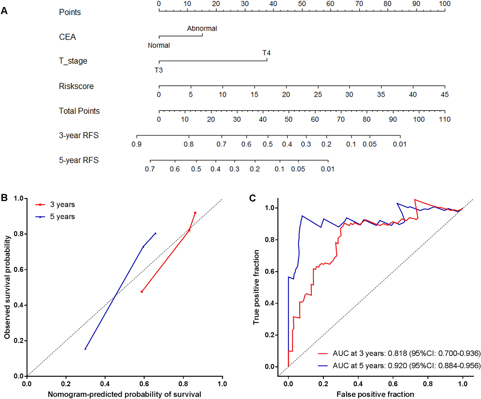
The nomogram to predict probability of RFS for stage II colon patients in all 204 patients. (A) The nomogram for predicting proportion of patients with RFS. (B) The calibration plots of the nomogram for the probability of RFS at 3 and 5 years. (C) Time-dependent ROC based on the nomogram for recurrence probability. Nomogram-predicted probability of recurrence is plotted on the x-axis and observed recurrence probability is plotted on the y-axis.