Figure 10

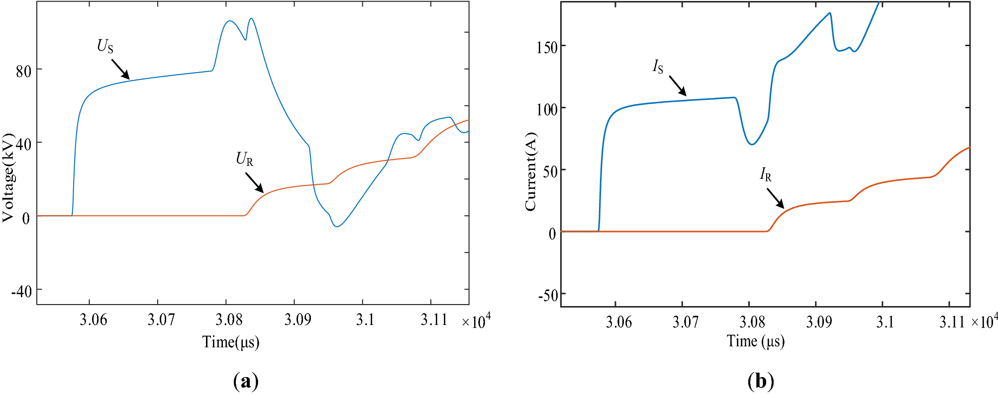
(a) Voltage traveling wave waveform at S-end and R-end of the line; (b) Current traveling wave waveform at S-end and R-end of the line.

(a) Voltage traveling wave waveform at S-end and R-end of the line; (b) Current traveling wave waveform at S-end and R-end of the line.