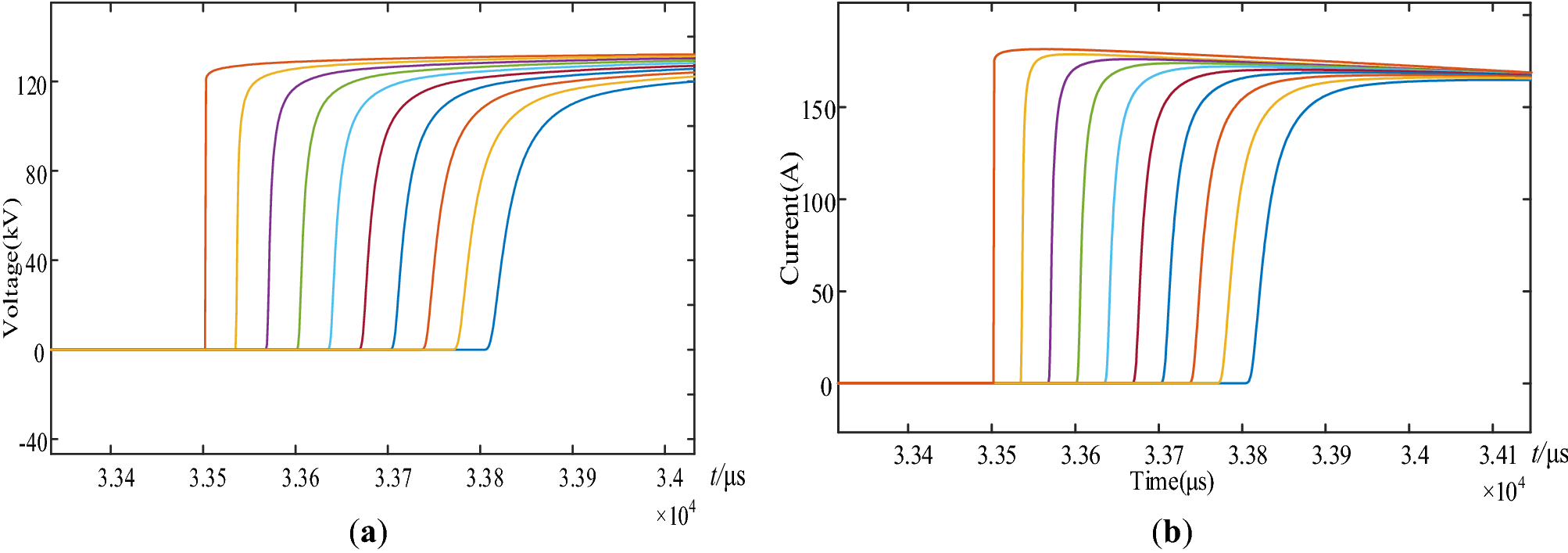
Figure 5

(a) Initial traveling wave waveform of voltage at each measuring point; (b) Initial traveling wave waveform of current at each measuring point.

(a) Initial traveling wave waveform of voltage at each measuring point; (b) Initial traveling wave waveform of current at each measuring point.