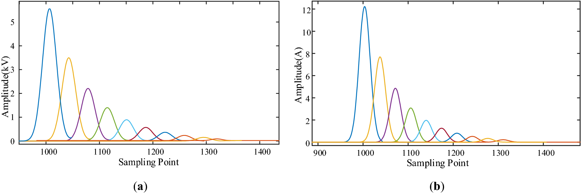
Figure 6

(a) S-transform results of voltage traveling wave at each measuring point; (b) S-transform results of current traveling wave at each measuring point.

(a) S-transform results of voltage traveling wave at each measuring point; (b) S-transform results of current traveling wave at each measuring point.