Figure 3
From: Input-driven chaotic dynamics in vortex spin-torque oscillator

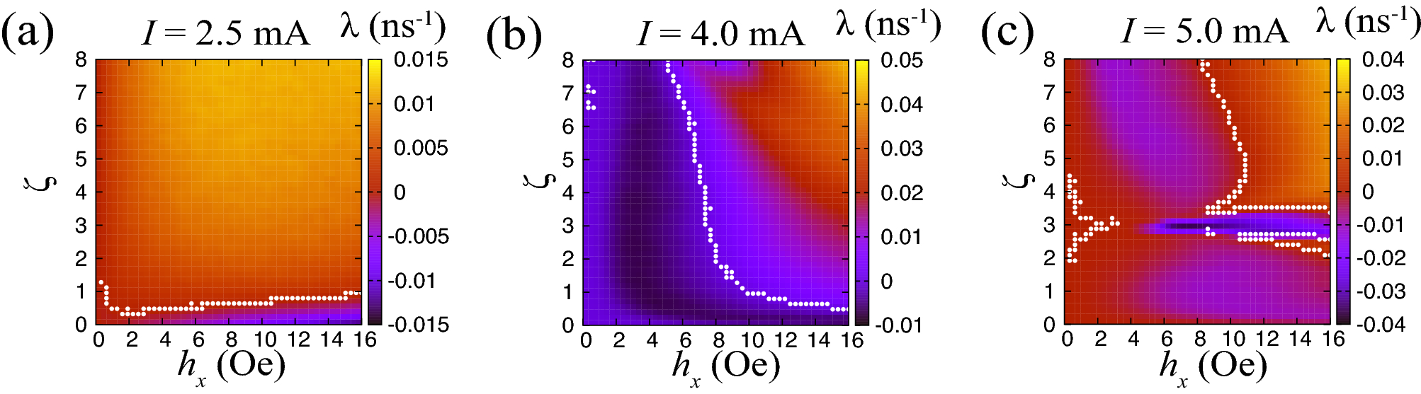
Dependence of Lyapunov exponent (\(\lambda\)) on the strength of the input signal (\(h_{x}\)) and amplitude–frequency coupling parameter (\(\zeta\)) for currents of (a) \(I=2.5\) mA, (b) \(I=4.0\) mA, and (c) \(I=5.0\) mA. The pulse width is 3.0 ns. The white dots represent the zero-exponent regions.