Figure 2

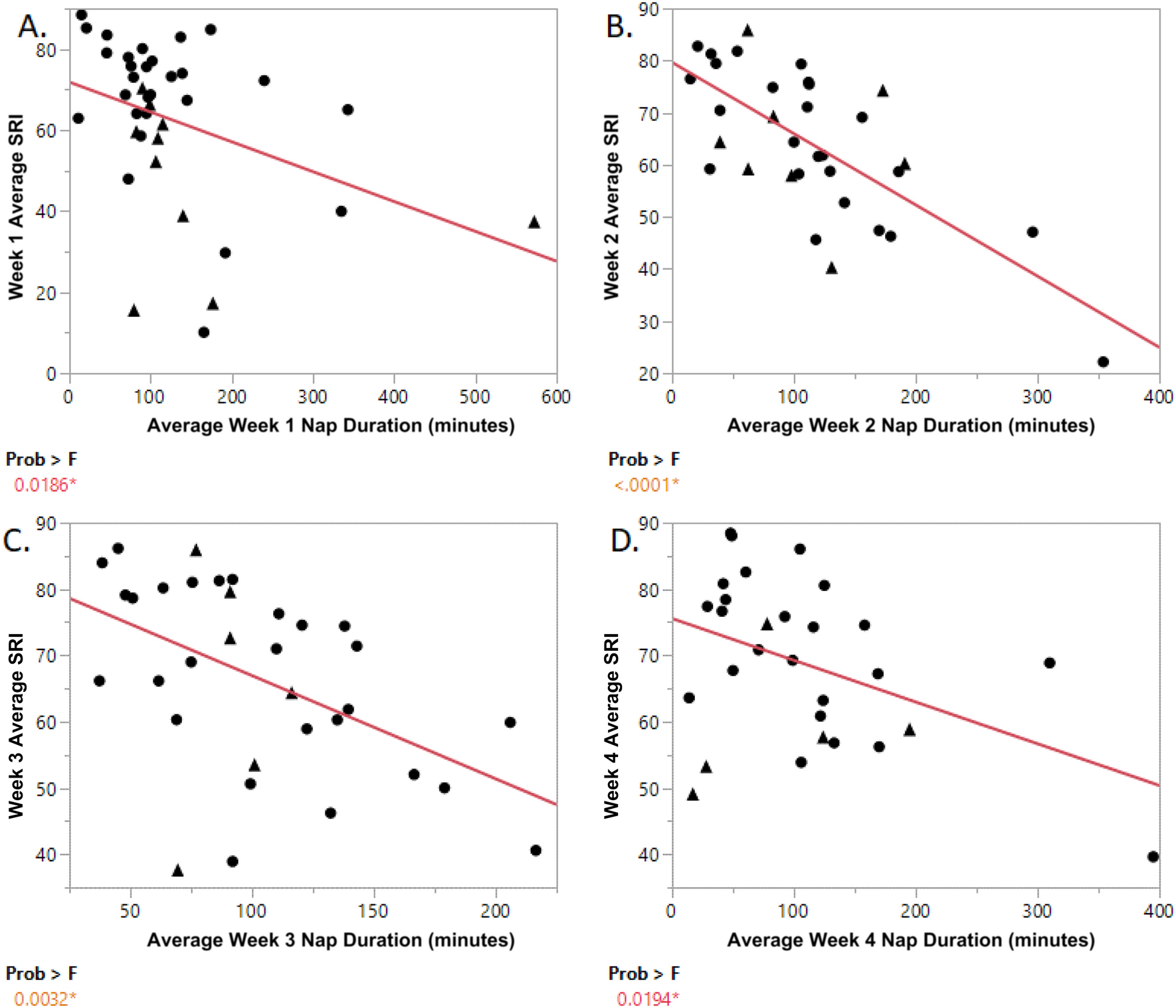
Weekly SRI versus weekly nap duration. Weekly SRI versus weekly average nap duration. (A) Week 1 SRI (x-axis) versus average week 1 nap duration (y-axis). Pearson correlation r = − 0.38, p = 0.018. (B) Week 2 SRI (x-axis) versus average week 2 nap duration (y-axis). Pearson correlation r = − 0.71, p < 0.0001. (C) Week 3 SRI (x-axis) versus average week 3 nap duration (y-axis). Pearson correlation r = − 0.49, p = 0.003. (D) Week 4 SRI (x-axis) versus average week 4 nap duration (y-axis). Pearson correlation r = − 0.43, p = 0.019.