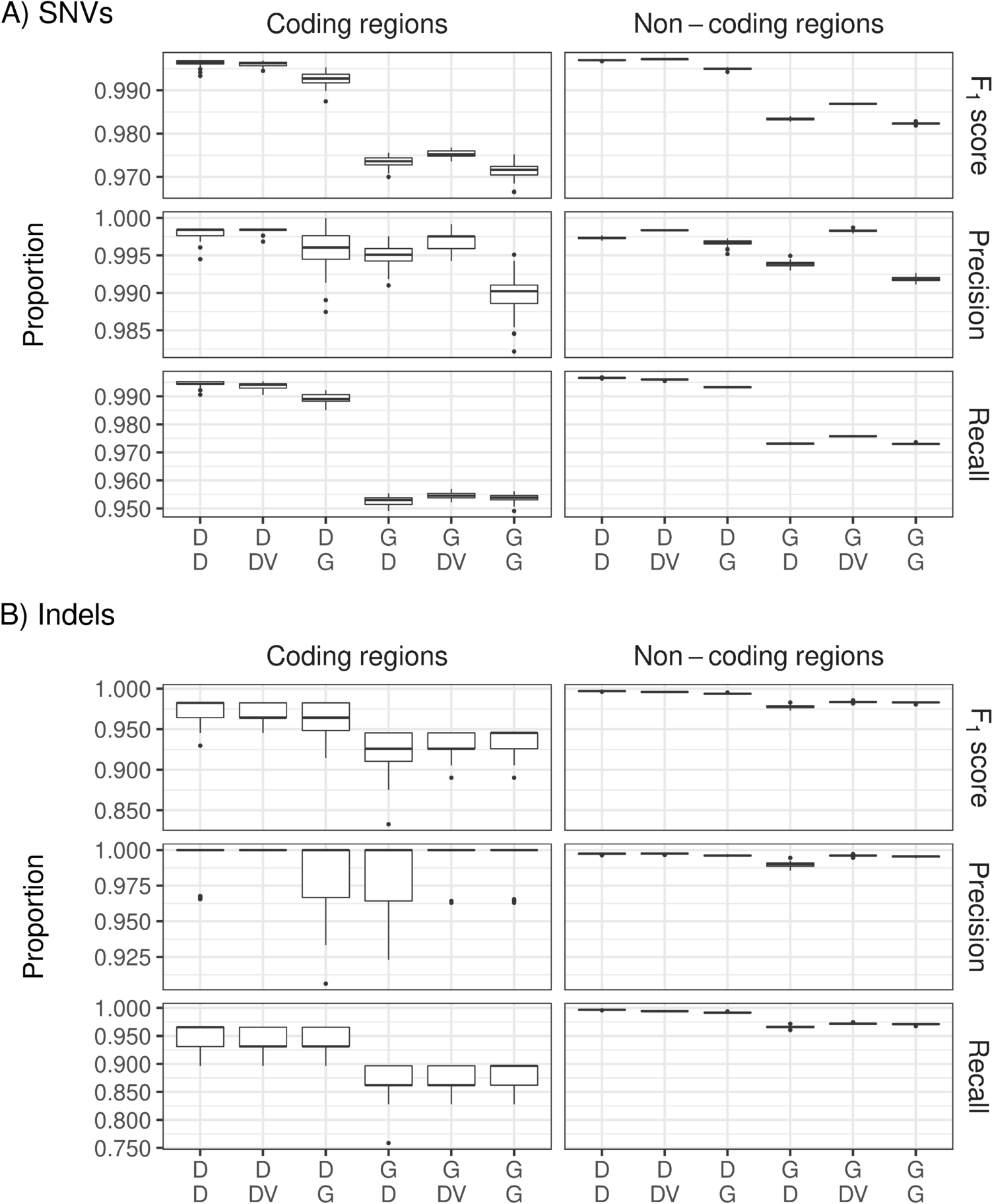
Figure 5

Percentages of F1 score, precision, and recall for coding and non-coding regions for single nucleotide variation (SNV) (upper 6 panels) and Indels (lower 6 panels) for the 6 pipeline combinations, based on chromosomes 20–22 of the genome in a bottle sample HG003. Labels on the x-axis were defined in detail in Fig. 2. D DRAGEN, DV DeepVariant, G GATK.